김수현
(Su-Hyeon Kim)
1iD
구본관
(Bon-Gwan Gu)
†iD
-
(School of Energy Engineering, Kyungpook National University, Daegu, Republic of Korea.)
Copyright © The Korea Institute for Structural Maintenance and Inspection
Key words
Dynamometer, STO, Emergency Stop, Regeneration, DC-link Voltage Prediction
1. 서 론
다이나모미터(Dynamometer)는 모터 및 인버터로 구성된 전기구동시스템의 기술개발과정에서 다양한 부하토크와 속도 운전 조건을 만들어 성능을
평가하는 장비이다. 전기자동차, 로봇, 전기선박, 전기항공기 등 다양한 분야에서 전기구동 모터 적용이 확대됨에 따라, 다이나모미터의 수요 또한 빠르게
증가하고 있다. 최근에는 전기모터의 부피, 무게 대비 출력향상을 위해서 고속, 고출력기의 개발이 확대됨에 따라 다이나모미터 또한 고속, 고출력 사양이
요구되고 있다[1-2].
다이나모미터는 부하모터와 이를 구동하는 부하 인버터, 고전압 DC 전원장치로 구성된다. 다이나모미터의 부하모터는 테스트모터와 직접 기계적으로 연결되어
동일한 속도로 회전되고, 부하 인버터는 이 부하모터에 전기에너지를 투입하여 토크와 속도 조절을 담당한다. 고전압 DC전원장치는 부하 인버터와 시험
구동시스템에 고전압 DC 전원을 공급하는 장치이다. 다이나모미터의 부하모터로는 영구자석동기전동기(Permanent Magnet Synchronous
Motor, PMSM)가 많이 적용이 되고 있는데, 이는 높은 효율과 빠른 응답 특성의 장점이 있기 때문이다[3]. 영구자석동기전동기 정격속도 이상의 속도에서는 약자속운전을 수행하는데[4-5], 고속 운전영역이 넓은 다이나모미터에서는 이러한 약자속운전의 안전성이 잘 확보되어야 한다. 특히, 고속에서 두 모터의 제어가 원활하게 되지 않는
상황이 발생하게 되면, 고속의 회전자 운동에너지가 부하 인버터 또는 시험용 인버터로 회생되어 DC-link의 과전압 문제를 발생시킬 수 있다.
다이나모미터에서는 각 전기적 기계적 부품들에서 다양한 고장이 발생할 수 있으며, 각 고장에 따른 대응방법도 다양하게 구분되어 있다[6-10]. 다이나모미터는 이러한 고장이 감지되면, 사용자에게 알리고, 위험한 경우에는 비상정지를 하게 된다. 일반적인 비상정지 방식은 모든 전력을 차단하고,
부하 인버터도 정지시키는 방식이다. 그러나, 이러한 정지방식은 회전자의 운동에너지가 DC-link로 유입되어 과전압과 이로 인한 시스템 파괴를 발생시킬
수 있다. 과전압에 의한 시스템 파괴를 방지하기 위해서, DC-link에 Discharge Unit(DCU)를 설치하는 경우가 있다. DCU는 과전압
발생 시 방전저항을 통해서 에너지를 효과적으로 소모시켜서 열로 외부 방출하게 된다.
그러나 DCU는 공간과 비용으로 설치가 어려운 경우가 존재 하며, 고장 상황에서 DCU 또한 정상 동작하지 못할 가능성도 있다. 이러한 경우를 대비해서,
각 운전상황별로 비상정지 적용 시 DC-link 캐패시터로 전달되는 최대 에너지를 추정이 필요하다. 이를 통해 고장 시 과전압 발생 가능 여부를 확인한
후 비상정지 방식을 선택하게 되면, DCU의 동작여부와 상관없이 다이나모미터를 안전하게 정지시킬 수 있어, 시스템 파괴를 방지할 수 있다.
본 논문에서는 다이나모미터가 고속운전 중 고장에 의한 비상정지 상황에서 DC-link로 유입되는 에너지를 통해 전압 상승분을 추정하는 기법을 제안하고,
이를 기반으로 한 안전한 비상정지 기법을 제안한다.
본 논문 2절에서는 기존 비상정지 시스템의 동작 방식과 한계를 분석하고, 3절에서는 회전자의 회생 에너지를 기반으로 DC-link 전압의 상승분 모델을
제안한다. 전압 상승분을 도출하기 위해서는 회생종료시점 추정이 필요한데, 이는 수식으로 도출하기에는 복잡하므로 시뮬레이션 기반 다중선형회귀기법을 활용하였다.
이를 통해 회생종료시점을 추정한 후에 DC-link 전압 상승분을 추정한다. 제안된 방식은 부하 인버터에 회생되어 들어올 수 있는 최대의 에너지를
DC-link 전압, 모터의 속도, 전류, 기계적 상수를 기준으로 데이터를 계산하고, 이를 기반으로 안전한 시스템 운전 정지 영역 설정에 기여 가능하다.
4절에서는 다양한 초기 조건 하에서의 시뮬레이션 및 실험을 통해 제안 알고리즘의 유효성을 검증한다.
2. 표준 비상정지 알고리즘
그림 1은 다이나모미터 시스템의 전체적인 구성을 나타낸다. 다이나모미터는 부하모터와 테스트모터가 커플링을 통해 축이 연결되어 동일한 속도로 회전하게 되고,
테스트 인버터와 부하 인버터가 동일한 전원을 공유하는 back-to-back 구조를 가진다. 시스템에는 하나의 상위제어기가 존재하고 각각의 인버터가
독립적으로 동작한다. 다이나모미터는 심각한 고장이 감지되면, 그림 1의 전원부 Braker를 통해 전력계통과 부하모터, 테스트모터와 전원부의 연결을 차단된다. 인버터, 모터는 안전을 확보하기위해 KS C IEC 61800-5-2에
기반한 고장 대응 알고리즘을 적용한다[11]. 그림 2는 다이나모미터 시스템에서 고장발생 시 고장대응 알고리즘을 나타내며 상위제어기에서 수행하게 된다. 다이나모미터 시스템에서 고장이 감지되면, 고장의
종류에 따라 고장의 위험도를 평가하여 Fail Passive, Fail Active, Fail Operation으로 분류한다. Fail Passive는
고장 발생 시 시스템이 더 이상 동작할 수 없는 상태로 즉시 정지해야 한다. Fail Active는 고장상황에서 적절한 대응 운전을 통해 제한적인
기능을 유지하며 작동 가능한 상태에서 속도를 낮추어 준 후에 정지하게 된다. Fail Operation은 고장이 발생하더라도 정상적인 기능을 유지하며,
동작에 영향을 미치지 않는 상태로써 사용자에게 고장 발생을 알려주고 일정시간 또는 조건이 바뀌게 되면 Fail Active 또는 Fail Passive로
전환된다.
그림 1. 다이나모미터 시스템
Fig. 1. Dynamometer System
그림 2. 고장 발생 시 다이나모의 고장대응 알고리즘
Fig. 2. Fault Tolerance Algorithm for Dynamo
Fail Active와 Fail Passive에서는 다이나모미터의 고장확산을 방지하고 시스템의 안정성과 정비를 보장하기 위해 모터를 최종적으로는 비상정지로
전환한다. 비상정지 알고리즘은 비상정지 0과 비상정지 1로 구분되며 그림 3은 두 알고리즘의 동작 과정을 나타낸다. 그림 3 (a)에서 비상정지 0은 심각한 고장 발생 시 모터의 전원을 바로 차단하여 정지하는 무제어 정지방식이다. 이때 인버터의 모든 스위치를 개방하는 PWM off로
전환되며 모터에는 추가적인 전력이 전달되지 않는다. 이와 같이 전원을 차단하여 제동하는 방식을 안전 토크 오프(Safe Torque Off, STO)라고
한다. 비상정지 1은 그림 3.(b)와 같이 시스템 내부에서 정해진 한계 내에서 모터 감속률을 개시 및 제어한다. 비상정지 1은 동작방식에 따라 안전정지 1(SS1)과 안전정지
2(SS2)로 구분되고 SS1 동작 시 모터의 속도가 지정된 한계 아래에 있을 때 STO를 진행한다. SS2 과정은 제어를 통해 모터가 정지된 위치로부터
일정 수치를 벗어나는 것을 방지하는 기능으로 모터가 정지 후에도 모터를 영속으로 제어하는 안전동작정지기능(Safe Operating Stop, SOS)을
수행한다.
이러한 비상정지 절차에서 STO는 모든 스위치를 개방하기 때문에, 고속운전 중 발생하는 회생 에너지의 처리가 중요한 요소로 작용한다. 기존 시스템
및 알고리즘은 대부분 DCU의 존재를 전제로 하며, 회생 에너지로 인한 DC-link 전압 상승을 DCU를 통해 제한하는 구조이다. 그러나 DCU가
없거나 정상적으로 동작할 수 없는 상황에서 안전한 비상정지(STO) 수행의 가능 여부에 대한 판단은 최종 DC-link의 전압이 구성하는 부품의 최대
허용전압보다 높은지 여부를 알아야 하므로, 이러한 DC-link 전압의 최대 상승분을 고려한 새로운 STO 동작의 판단 기준이 필요한 상황이다.
그림 3. 알고리즘에 따른 동작 과정, (a) 비상정지 0, (b) 비상정지 1
Fig. 3. Process of action according to the stopping algorithm, (a) Emergency stop
0, (b) Emergency stop 1
3. 제안하는 DC-link 전압 상승분 추정기법
3.1 고속운전에서 STO시 DC-link 캐패시터 전압 추정
그림 4는 고장 시 모터의 에너지 흐름을 나타내며 DC-link 캐패시터 전압 $V_{c}$, 캐패시턴스 $C$, 회전자의 관성 $J$, 회전자의 기계적
회전속도 $\omega_{m}$, 테스트모터에서 발생하는 토크를 $T_{test}$로 정의한다. 변수들을 이용하여 DC-link 캐패시터에 충전되어있는
전기에너지, 회전하는 회전자의 운동에너지, 고장 이후 테스트모터가 축을 통해 전달하는 에너지를 표현하였다. 고속으로 회전하는 영구자석동기전동기에서
선간 역기전력이 DC-link 캐패시터의 전압보다 클 경우 PWM off 시 인버터는 다이오드 정류기로 동작한다. 스위치의 바디 다이오드를 통해 회생
전류가 발생하고 DC-link 캐패시터를 충전하게 된다[12-13]. 따라서, PWM off가 되는 STO를 적용했을 때, 이 회생되는 에너지로 인한 DC-link 캐패시터의 전압 상승분을 미리 알 수 있으면, 비상정지에서
STO 적용 여부를 결정할 수 있게 된다. 전압 상승분이 과다하여 부하 인버터 또는 전원장치를 파괴할 수 있다면, 고장대응운전을 통해서 속도를 낮춘
다음에 STO 적용을 재검토하게 한다.
그림 4. 다이나모미터의 에너지 흐름
Fig. 4. Energy flow of Dynamometer
다이나모미터 시스템에서 고장이 감지되어 부하모터가 STO 동작할 때 모터에 분포하고 있는 전기에너지 $E_{elec}$와 기계에너지 $E_{mech}$는
수식 (1)과 (2)로 표현할 수 있다.
$B$는 기계적 마찰계수를 나타낸다. 식 (2)의 첫 번째 항은 회전운동에너지이고, 두 번째 항은 마찰에 의한 에너지가 소모되는 것을 나타낸다.
고장감지 시 상위제어기에서 테스트모터로 정지신호가 전달되는데, 이 과정에서 통신 딜레이와 테스트인버터의 정지 구조에 의해 부하모터와 테스트모터가 동시에
정지하지 않을 수 있다. 테스트모터는 정지신호가 도착하기까지 원래의 발생시키고 있던 토크 $T_{test}$를 발생하고, 이 에너지는 $T_{test}\omega_{m}$의
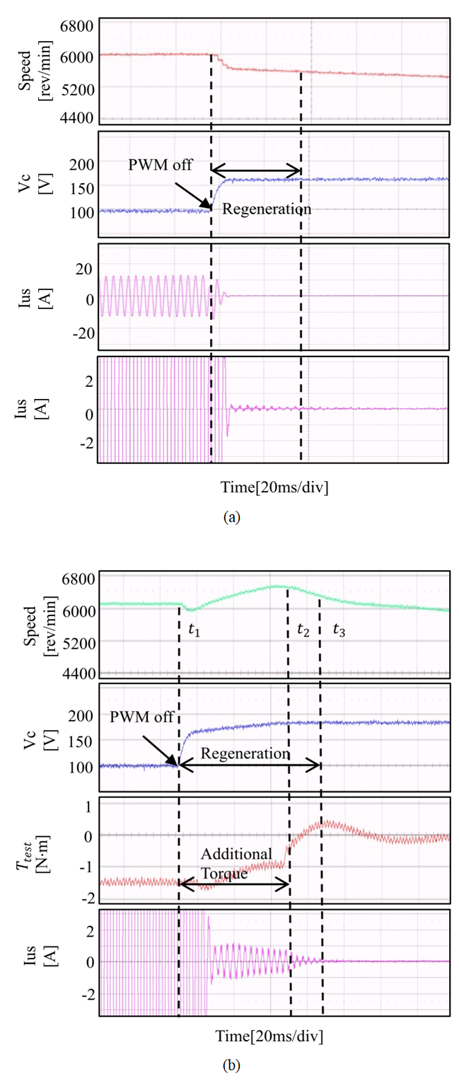
전력으로 부하모터로 전달되어 DC-link 전압을 상승시킬 수 있다. 그림 5는 이러한 상황에서의 속도, DC-link 캐패시터 전압, 토크의 변화를 보여준다. $T_{dyno}$, $T_{\sum}$는 회생전류에 의해 발생하는
부하모터 토크, 다이나모 토크에 테스트모터의 토크를 합한 토크이다. 그림 5에 표시된 $t_{1}$은 부하모터가 STO 시작시간, $t_{2}$는 테스트모터가 정지신호를 전달받아 토크를 0으로 제어 하는 시간이다. $t_{3}$는
DC-link 캐패시터의 전압이 상승하여 선간 역기전력보다 커지면서 회생이 종료되는 시간을 나타낸다. $t_{3}$이후 더 이상 회생하지 않으며,
회전하던 모터는 마찰로 스스로 정지한다.
그림 5. STO 시 테스트모터의 추가 토크 발생에 따른 시뮬레이션 결과
Fig. 5. Simulation results of the test motor generating additional torque during STO
STO에서 DC-link 전압이 더욱 과하게 상승하게 하는 경우는 테스트모터가 발생하는 토크가 회전자를 가속하는 상황이다. 이때 에너지가 부하모터와
부하 인버터를 통해서, DC- link 전압을 더욱 높게 충전한다. 해당 상황에서 테스트모터에서 부하 인버터의 DC-link에 전달되는 에너지 $E_{ect}$은
식 (3)으로 나타난다.
테스트모터가 전달하는 에너지는 $t_{1}$에서 $t_{2}$ 시점까지 유지된다. 에너지 변화는 아래 식 (4)로 표현될 수 있다.
식 (4)는 부하모터가 외부회로와 단락되었을 때 회전자의 기계적 에너지 변화량, DC-link 캐패시터의 에너지 변화량, 테스트모터에서 전달하는 에너지의 합이
같음을 나타낸다. $t_{1}$과 $t_{3}$ 시점에서 DC-link 캐패시터 전압과 회전자의 회전속도는 각각 $V_{c,\: t1}$, $V_{c,\:
t3}$, $\omega_{m,\: t1}$, $\omega_{m,\: t3}$라고 하면 식 (4)는 식 (5)으로 표현할 수 있다.
식 (5)에서 $\omega_{m}$는 모델의 복잡도를 줄이기 위해 $\omega_{m,\: t1}$값으로 근사하였다. 회생 종료 시 선간 역기전력의 최댓값,
$emf_{LL,\: pk}$와 $V_{c,\: t3}$ 관계는 스위치 바디다이오드의 전압강하,$V_{d}$를 고려하여 식 (6)으로 표현할 수 있다.
$\lambda$는 회전자자속 상수이고, $P$는 모터 극수, $k=\sqrt{3}P\lambda /2$는 역기전력 상수를 나타낸다. PWM off
시 전류는 인버터를 통과하며 2개의 바디다이오드를 통과하므로 $2V_{d}$만큼의 전압강하 성분이 발생한다. 식 (5)과 식 (6)을 연립하여 $\omega_{m,\: t3}$에 대해 정리한 수식을 도출하고 이를 식 (6)에 대입하면 식 (7)의 결과를 얻을 수 있다.
where, $a=Ck^{2}+J$,
$b =-2Ck V_{d}$,
$c=4CV_{d}^{2}-CV_{c,\: t1}^{2}-J\omega_{m,\: t1}^{2}-2\int_{t1}^{t2}T_{test}\omega_{m}dt
+2\int_{t1}^{t3}B\omega_{m}^{2}dt$
식 (7)에서 모터의 사양과 모터의 $V_{c,\: t1}$, $\omega_{m,\: t1}$, $t_{2}$, $t_{3}$값을 통해 DC-link 전압의
Peak인$V_{c,\: t3}$값을 추정할 수 있음을 알 수 있다. 모터에서 $V_{c,\: t1}$, $\omega_{m,\: t1}$는 측정되고,
$t_{2}$는 상위제어기에서 테스트 인버터를 정지시키는데 필요한 최대 시간으로 정할 수 있다. 이를 통해 마찰이 0인 이상적인 상황에서는 $t_{3}$값
없이 에너지 변화량을 통해 $V_{c,\: t3}$를 추정할 수 있다. 그러나 실제 시스템에서는 마찰이 존재하고 정확한 $V_{c,\: t3}$ 추정에
$t_{3}$값이 필요하지만 $t_{3}$의 값은 계산이 불가능하다. 따라서, $t_{3}$의 값을 추정할 수 있도록 다음 소단원에서 논의한다.
3.2 다중선형회귀기법을 통한 회생 종료 시점 추정
회생이 종료되는 $t_{3}$의 값이 정확히 추정되면, 식 (7)을 통해서 정확한 DC-link의 최대 전압값을 계산할 수 있다. 그러나, 모터 속도 변화는 역기전력을 변화시켜 회생에 영향을 미치며, 이는 다시 부하모터의
토크와 DC-link의 전압 상승에 영향을 준다. 따라서 $t_{3}$를 계산하기 위해 시간에 따른 전류와 속도 변화를 고려해야 하며, 모터의 동특성에
대한 복잡한 해석이 필요하다.
본 논문에서는 이러한 복잡성을 단순화하기 위해 복수의 독립변수로 종속변수를 예측하는 다중선형회귀분석기볍(Multiple Linear Regression)을
사용한다. $t_{3}$의 예측 모델을 만들기위해 회로 시뮬레이션을 통해서 표 1의 모터를 모델링하여 시뮬레이션 데이터 테이블을 작성한다. 모터의 동특성에 의해 $t_{3}$는 $V_{c,\: t1}$, $\omega_{m,\:
t1}$, $T_{test}$, 테스트모터가 $T_{test}$를 발생하는 시간인 $\triangle t(=t_{2}-t_{1})$값에 따라 결정된다.
표 1 모터 사양
Table 1 Motor parameter
|
Parameter
|
Value
|
Unit
|
|
Rated Current
|
20
|
Arms
|
|
Winding Resistance, R
|
0.2
|
Ω
|
|
Number of Pole
|
6
|
-
|
|
d-axis Inductance, Ld
|
1.05
|
mH
|
|
q-axis Inductance, Lq
|
1.19
|
mH
|
|
DC-link Capacitor, C
|
1.85
|
mF
|
|
Moment of Inertia, J
|
0.0007032
|
kg·m²
|
|
Firiction, B
|
0.0008429
|
N
|
|
DC Voltage
|
100
|
V
|
|
Rated Power
|
1
|
kW
|
|
Rated Speed
|
2000
|
RPM
|
데이터 테이블을 분석하여 MATLAB에서 다중선형회귀분석기법을 통해 $t_{3}$의 수식을 도출한다. $\triangle t$는 시스템의 구조에 의해
결정되므로 상수로 설정하였다.
표 2는 무부하 조건에서 $V_{c,\: t1}$와 $\omega_{m,\: t1}$의 변화에 따른 $t_{3}$를 나타내고 회생이 발생하지 않으면 ‘–’로
표기했다. DC-link 캐패시터의 과전압 상황을 가정하여 $V_{c,\: t1}$를 100V에서 150V까지 10V씩 증가하며 시뮬레이션을 진행했다.
$t_{3}$는 $\omega_{m,\: t1}$가 커질수록 큰 값을 가지며 $V_{c,\: t1}$값에는 큰 영향을 받지 않았다. $V_{c,\:
t1}$는 기저속도에 영향을 미치며 모터의 선간 역기전력과 $V_{c,\: t1}$가 비슷할 때 $t_{3}$가 급격히 감소함을 보인다. 표 3은 $V_{c,\: t1}$를 100V, $\triangle t$를 20ms로 설정한 후 $\omega_{m,\: t1}$와 $T_{test}$변화에
의한 $t_{3}$결과를 나타낸다. $\omega_{m,\: t1}$와 $T_{test}$가 커짐에 따라 $t_{3}$가 증가했다. 결과적으로 $V_{c,\:
t1}$는 $t_{3}$에 큰 영향을 주지 않으므로 $\omega_{m,\: t1}$와 $T_{test}$를 $t_{3}$의 변수로 선정하였다. 해당
데이터 테이블을 기반으로 다중선형회귀분석기법을 적용하면 식 (8)을 얻을 수 있다.
표 2 무부하 시 전압과 속도에 따른 회생 시간
Table 2 Duration of regeneration as a function of voltage and speed without load
|
$t_{3}$[ms]
|
$V_{c,\: t1}$[V]
|
|
Speed
[rev/min]
|
100
|
110
|
120
|
130
|
140
|
150
|
|
3500
|
20.8
|
-
|
-
|
-
|
-
|
-
|
|
3750
|
27.0
|
12.3
|
-
|
-
|
-
|
-
|
|
4000
|
27.9
|
26.6
|
-
|
-
|
-
|
-
|
|
4250
|
28.5
|
28.3
|
25.3
|
-
|
-
|
-
|
|
4500
|
29.4
|
29.1
|
28.5
|
21.4
|
-
|
-
|
|
4750
|
29.8
|
29.9
|
29.6
|
28.6
|
-
|
-
|
|
5000
|
30.3
|
30.3
|
30.4
|
30.1
|
28.0
|
-
|
|
5250
|
30.8
|
30.8
|
31.0
|
30.8
|
30.2
|
25.7
|
|
5500
|
31.3
|
31.6
|
31.6
|
31.6
|
31.2
|
30.1
|
|
5750
|
31.6
|
32.0
|
32.1
|
32.2
|
32.1
|
31.5
|
|
6000
|
32.2
|
32.5
|
32.7
|
32.7
|
32.7
|
32.4
|
표 3 $T_{test}$와 속도에 따른 회생 시간(@$\triangle t$ = 20ms, $V_{c,\: t1}$ = 100V)
Table 3 Duration of regeneration as a function of $T_{test}$ and speed(@$\triangle
t$ = 20ms, $V_{c,\: t1}$ = 100V)
|
$t_{3}$[ms]
|
$T_{test}$[Nm]
|
|
Speed
[rev/min]
|
0
|
0.513
|
1.026
|
1.539
|
2.052
|
|
3500
|
20.81
|
39.04
|
45.61
|
48.01
|
48.73
|
|
3750
|
27.03
|
41.19
|
46.18
|
48.25
|
49.24
|
|
4000
|
27.99
|
41.29
|
46.64
|
48.62
|
49.62
|
|
4250
|
28.54
|
42.10
|
46.68
|
49.30
|
50.10
|
|
4500
|
29.49
|
42.35
|
46.98
|
48.98
|
50.37
|
|
4750
|
29.86
|
42.99
|
47.42
|
49.61
|
50.50
|
|
5000
|
30.39
|
43.50
|
47.78
|
49.98
|
50.96
|
|
5250
|
30.84
|
44.01
|
48.4
|
50.15
|
51.29
|
|
5500
|
31.36
|
44.77
|
48.47
|
50.63
|
51.47
|
|
5750
|
31.60
|
45.10
|
48.65
|
50.79
|
51.95
|
|
6000
|
32.28
|
45.67
|
49.29
|
51.35
|
52.17
|
그림 6에 표 3의 데이터와 식 (8)의 결과를 나타낸다. 테스트모터가 전달하는 에너지가 커질수록 $t_{3}$가 증가하는 경향을 보인다.
그림 6. $t_{3}$ 테이블과 다중선형회귀분석기법 결과(@$V_{c,\: t1}$ = 100V, $\triangle t$ = 20ms)
Fig. 6. $t_{3}$ tables and multiple linear regression results(@$V_{c,\: t1}$ = 100V,
$\triangle t$ = 20ms)
3.3 제안하는 비상정지1(SS1) 알고리즘
그림 7은 제안된 비상정지1(SS1) 알고리즘의 동작 과정을 나타낸다. 본 알고리즘은 고장 검출(Fault Detection) 후 즉시 모터의 구동을 차단하는
기존 STO 방식과 달리, 시스템의 전압, 속도 및 $T_{test}$를 분석하여 안전하게 감속한 후 정지하는 구조를 갖는다. 제안된 알고리즘은 현재
모터 속도와 초기 DC-link 캐패시터 전압, 그리고 수식 (8)을 통해 구한 $t_{3}$값을 수식 (7)에 대입하여 회생 종료시점의 DC-link 전압 추정치를 계산한다. 계산된 DC-link 전압과 캐패시터의 최대 전압, $V_{dc,\: \max}$와
비교된다. 추정전압이 $V_{dc,\: \max}$ 이상이라 판단되면, STO 기능을 수행하지 않고 PWM 신호를 유지하며 각 고장상황에 맞는 고장대응운전을
통해 모터 속도를 감속시키고, 위 과정을 반복 수행하여 전압 및 속도가 안정화될 때까지 제어한다. 추정전압이 $V_{dc,\: \max}$ 미만일
때 모터가 충분히 감속되어 STO 기능을 수행해도 안전한 상태임을 의미한다. 이때 모터는 STO 기능을 실행하고 시스템은 정지하여 유지보수 또는 재가동
절차를 진행할 수 있다.
제안된 SS1 알고리즘은 DCU가 없는 다이나모미터 시스템에서 비상정지 시 적용할 수 있는 명확한 정지 기준을 제시한다는 점에서 의의가 있다.
그림 7. 제안하는 비상정지 1(SS1)의 STO 알고리즘
Fig. 7. Proposed emergency stop 1(SS1) STO algorithm
4. 시뮬레이션 및 실험 결과
제안한 DC-link 캐패시터 전압 추정 수식과 알고리즘의 타당성을 검증하기 위해 그림 8과 같이 동일한 사양의 파워스택과 모터 두 대를 연결했다. 시스템 상수값은 표 1과 동일하며, 하나의 제어기를 통해 부하모터와 테스트모터를 제어하는 실험환경을 구성했다. Texas Instruments(TI)사의 TMS320F28377를
사용하였으며 제어 주파수를 10kHz로 설정했다. 실험은 모터의 정격속도의 3배에 해당하는 고속영역에서 STO를 수행했다. 실험파형은 ADC/DAC
변환 과정을 거쳐 오실로스코프로 측정하였으며, DC-link 캐패시터의 초기전압은 100V로 설정하고
그림 8. 실험 환경
Fig. 8. Experiment environment
전압프로브를 통해 DC-link 캐패시터의 전압 변화를 기록하였다. 시뮬레이션은 PSIM(PowerSIM) 프로그램을 사용했다.
STO 시 전원 측의 캐패시터 뱅크와 DC-link 캐패시터를 전기적으로 분리하였다. 테스트모터는 고장발생 후 제어를 통해 $\triangle t$
동안 추가적인 토크를 인가한 후 q축 전류를 0으로 제어하여 테스트모터 인버터의 DC-link 캐패시터에 회생전력이 충전되지 않도록 실험환경을 구성했다.
그림 9는 무부하 시 6000rpm 운전영역에서 STO 시뮬레이션 결과를 나타내며, 모터의 속도, DC-link 캐패시터 전압, 그리고 부하모터의 동기좌표계
dq축 전류 파형을 포함하고 있다. 시뮬레이션은 0초에서 STO 기능을 수행하였으며, STO 시 인버터 스위치가 개방되어 인버터가 다이오드 정류기로
동작하여 모터는 회생제동을 수행한다.
그림 9. STO 시 모터의 속도, DC-link 캐패시터 전압 및 dq축 전류 시뮬레이션 결과(@6000rpm) (a) 실험 모터와 동일한 모델링,
(b) 마찰을 2배로 증가했을 때
Fig. 9. Simulation results of rotor speed, DC-link capacitor voltage, and dq-axis
current during STO(@6000rpm), (a) Identical modeling to experimental motor, (b) With
doubled friction
그림 9 (a)는 실험 모터와 동일한 사양의 모터, 그림 9 (b)는 마찰이 2배인 모터의 시뮬레이션 결과를 나타낸다. 그림 9 (b)에서는 큰 마찰이 작용함에 따라, 그림 9 (a)에 비해 $V_{c,\: t3}$가 낮은 특성을 나타낸다. 이는 마찰에 의한 손실로 회전자의 기계적 에너지가 빠르게 소모하여 회생 에너지가 감소했기
때문이며, 시스템 상수값 변화에 따라 회생제동 특성이 달라질 수 있음을 확인할 수 있다. 또한 마찰에 의한 항은 마찰이 크거나 고속 조건에서 알고리즘에
큰 마진으로 작용하므로 이를 보상한 적절한 STO 기준이 필요함을 알 수 있다.
그림 10은 회생제동 상황에서 모터 속도, DC-link 캐패시터 전압, 상전류의 실험결과를 보여준다. 그림 10 (a)는 무부하 시 6000rpm에서 STO 상황의 모터 속도, DC-link 캐패시터의 전압, 상전류의 실험파형을 나타내며 회생제동으로 인해 모터는 초기에
급격하게 감속하며 DC-link 캐패시터 전압이 빠르게 충전되는 모습을 보여준다. 상전류 또한 초기에는 DC-link 캐패시터 전압과 선간 역기전력
간의 차이로 전류가 증가하며, 회생이 진행됨에 따라 DC-link 캐패시터 전압이 상승하면서 점차 감소한다. 이는 시뮬레이션 결과와 일치한다. 상전류의
크기를 통해 DC-link 속도, 캐패시터의 회생 종료 시점을 알 수 있다.
그림 10 (b)는 6000rpm에서 테스트모터가 회전자의 회전 방향으로 추가적인 토크를 50ms 동안 인가했을 때 모터의 DC-link 캐패시터 전압, $T_{test}$와
부하모터의 상전류의 실험 파형이다. $T_{test}$의 음의 방향이 회전자의 회전 방향이다. 초기에 $T_{test}$와 회생제동으로 발생하는 $T_{dyno}$의
상호 작용으로 인해
그림 10. 실험결과: (a) 무부하 시 속도, DC-link 캐패시터 전압, 상전류 파형, (b) 추가적인 토크 발생 시 속도, DC-link 캐패시터
전압, 테스트모터 토크, 상전류 파형
Fig. 10. Experimental results: (a) Speed, DC-link capacitor voltage, and phase current
waveform without load, (b) Speed, DC-link capacitor voltage, Test motor torque, and
phase current waveform with additional torque.
회전자는 잠시 감속한 후 가속하였으며, DC-link 캐패시터 전압이 충전되는 모습을 확인할 수 있다. 그림 10 (b)는 그림 10 (a)에 비해 더 높은 전압까지 회생이 진행되고 회생시간 또한 더 긴 것을 확인할 수 있다. 이는 시뮬레이션 결과와 일치하며 테스트모터가 토크를 발생시키는
경우 전달된 에너지에 의해 DC-link 캐패시터는 더 높은 전압까지 충전되는 것을 실험적으로 확인하였다.
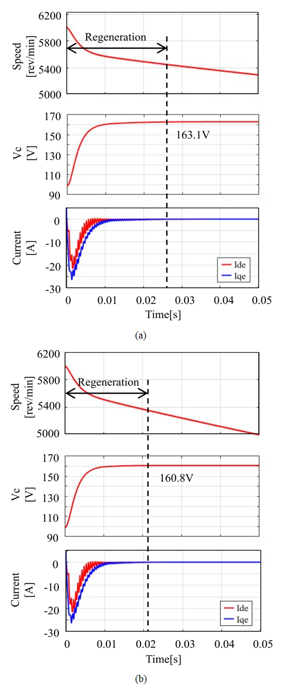
그림 11은 DC-link 캐패시터의 회생 종료 전압의 실험값과 계산 값을 보여준다. 계산 값에는 마찰에 의한 손실을 포함한 계산 값과 마찰의 손실을 무시한
계산 값을 나타내고 있으며 마찰의 손실을 포함하기 위해 수식 (8)로 구한 $t_{3}$값을 사용하였다. 그림 11 (a)는 무부하 상태에서 운전영역별 회생 종료 시 DC-link 캐패시터 전압의 실험값과 계산 값을 나타낸다. 마찰의 손실을 보상하지 않은 계산 값의 경우,
고속영역으로 갈수록 마찰에 의한 손실 성분이 증가하여 마찰을 고려하지 않은 이론값과 실험값 사이의 오차가 커지는 것을 확인할 수 있다. 그림 11 (b)는 6000rpm에서 $\triangle t$를 20ms로 고정하고 $T_{test}$를 변화했을 때 실험값과 계산 값을 나타낸다. $T_{test}$가
커질수록 부하모터가 전달받는 에너지가 커져 더 높은 전압까지 DC-link 캐패시터가 충전됨을 실험적으로 보였다. 그림 11에서 마찰을 포함한 계산 값은 실험값과 유사한 결과를 보이며 수식과 테이블로 추정한 $t_{3}$가 실험 데이터를 효과적으로 반영함을 확인하였다.
실험값이 계산 값보다 낮게 측정된 이유는 수식의 단순화와 마찰을 제외한 모터의 손실을 마진으로 설정하였기 때문이다. 결과적으로 수식적으로 도출한 계산식과
실험적으로 측정된 데이터가 전반적으로 일치함을 확인하였다.
본 논문에서 제안한 알고리즘은 모터의 회전속도와 시스템 상수를 고려하여 PWM off 이후 DC-link 캐패시터의 최종 전압이 과전압 한계 내에
유지되도록 하는 것을 목표로 한다. 따라서 알고리즘의 성능 평가는 전류·전압의 순간적인 변화보다는 회생 제동 종료 시점의 DC-link 캐패시터 최종
전압을 기준으로 하는 것이 타당하다. 이러한 관점에서 본 논문은 그림 11에 회전자의 회전속도에 따른 최종 전압 변화를 제시하여 제안 알고리즘의 타당성을 검증하였다.
그림 11. STO 시 DC-link 캐패시터 전압 계산 값과 실험값 (a) 무부하 시 속도에 따른 변화, (b) $T_{test}$에 따른 변화(@6000rpm,
$\triangle t$ = 20ms)
Fig. 11. Calculated and experimental values of DC-link capacitor voltage during STO
(a) Variation with respect to speed without load, (b) Variation with respect to $T_{test}$
(@6000rpm, $\triangle t$ = 20ms)
5. 결 론
본 논문에서는 다이나모 시스템에서 DCU가 없거나 사용할 수 없는 환경을 가정하고, 고속 회전 중 발생할 수 있는 비상정지 상황에서 DC-link
캐패시터의 전압 상승을 억제하기 위한 STO 기준을 적용한 알고리즘을 제안하였다. 회전자에 저장된 운동에너지가 회생 경로를 통해 DC-link 캐패시터에
전달되는 과정을 수식적으로 모델링 하였으며, 이를 기반으로 STO 시점을 판단할 수 있도록 알고리즘을 구성하였다.
제안한 알고리즘은 회전자 속도, 마찰계수, 캐패시턴스 등 시스템 상수값을 기반으로 동작하며, 시뮬레이션 및 실험을 통해 다양한 조건에서 DC-link
전압 상승을 효과적으로 예측하고 제어할 수 있음을 확인하였다.
또한, 회생 전력이 DC-link에 축적되는 구조를 가진 다양한 구동 시스템에도 적용 가능하므로, 향후에는 시스템 파라미터의 자동 추정을 위한 적응형
제어나 데이터 기반 보완 기법을 도입하여 범용성과 실용성을 더욱 향상시킬 수 있을 것으로 기대된다.
Acknowledgements
이 연구는 2025년도 산업통상자원부 및 한국산업기술기획평가원(KEIT) 연구비 지원에 의한 연구임(‘20024464’)
References
Yuan Chen & Seok-Swoo Cho, “The Analysis of Research Trends in Electric Vehicle using
Topic Modeling,” Journal of Korea Institute of Information, Electronics, and Communication
Technology, vol. 17, no. 4, pp. 255-265, 2024.

Minsang Koo, Hyewon Hwang & Jeonghwan Jeon, “Analysis of Patent Trends of Electric
Vehicle in Korea Using Network Analysis,” Journal of the Korea Academia-Industrial
cooperation Society, vol. 24, no. 3, pp. 13-23, 2023.

Z. Zhu, X. Wang, B. Yan, L. Li and Q. Wu, “A Dynamic Decoupling Control Method for
PMSM of Brake-by-Wire System Based on Parameters Estimation,” in IEEE/ASME Transactions
on Mechatronics, vol. 27, no. 5, pp. 3762-3772, Oct. 2022.

Z. Yu, A. Mohammed and I. Panahi, “A review of three PWM techniques,” Proceedings
of the 1997 American Control Conference (Cat. No.97CH36041), Albuquerque, NM, USA,
vol. 1, pp. 257-261, 1997.

W. L. Soong and N. Ertugrul, “Field-weakening performance of interior permanent-magnet
motors,” in IEEE Transactions on Industry Applications, vol. 38, no. 5, pp. 1251-1258,
Sept.-Oct. 2002.

Im Won-Sang, Jang-Sik Kim, Jang-Mok Kim, Dong-Choon Lee and Kyo-Beum Lee, “Diagnosis
Methods for IGBT Open Switch Fault Applied to 3-Phase AC/DC PWM Converter,” Journal
of Power Electronics. The Korean Institute of Power Electronics, January 20, 2012.

O. -S. Yu, N. -J. Park and D. -S. Hyun, “A Novel Fault Detection Scheme for Voltage
Fed PWM Inverter,” IECON 2006 - 32nd Annual Conference on IEEE Industrial Electronics,
Paris, France, pp. 2654-2659, 2006.

B. -G. Gu, “Study of IPMSM Interturn Faults Part I: Development and Analysis of Models
With Series and Parallel Winding Connections,” in IEEE Transactions on Power Electronics,
vol. 31, no. 8, pp. 5931-5943, Aug. 2016.

B. -G. Gu, “Study of IPMSM Interturn Faults Part II: Online Fault Parameter Estimation,”
in IEEE Transactions on Power Electronics, vol. 31, no. 10, pp. 7214-7223, Oct. 2016.

G. Zhang, H. Zhou, G. Wang, C. Li and D. Xu, “Current Sensor Fault-Tolerant Control
for Encoderless IPMSM Drives Based on Current Space Vector Error Reconstruction,”
in IEEE Journal of Emerging and Selected Topics in Power Electronics, vol. 8, no.
4, pp. 3658-3668, Dec. 2020.

Korean Agency for Technology and Standards. (2014). KS C IEC 61800-5-2: Adjustable
Speed Electrical Power Drive Systems – Part 5-2: Safety Requirements – Functional.
https://www.standard.go.kr/

J. W. Kolar and T. Friedli, “The essence of three-phase PFC rectifier systems,” 2011
IEEE 33rd International Telecommunications Energy Conference (INTELEC), Amsterdam,
Netherlands, pp. 1-27, 2011.

T. Friedli, M. Hartmann and J. W. Kolar, “The Essence of Three-Phase PFC Rectifier
Systems—Part II,” in IEEE Transactions on Power Electronics, vol. 29, no. 2, pp. 543-560,
Feb. 2014.

저자소개
2024년 경북대학교에너지공학부(학사)
2024년 ~ 현재 경북대학교에너지공학부(석사)
E-mail : rlatngus527@naver.com
2005년 포항공과대학교 전기전자(공학박사)
2005년 ~ 2007년 LG전자
2007년 ~ 2014년 전자부품연구원
2014년 ~ 현재 경북대학교에너지공학부 부교수
E-mail : bggu@knu.ac.kr