이장무
(Chang-Mu Lee)
1iD
이한상
(Han-Sang Lee)
2iD
김주락
(Joo-Rak Kim)
†iD
-
(Electrical & Signaling Division, Electrification System Research Department, Korea
Railroad Research Institute, Uiwang, Korea. E-mail : cmlee@krri.ac.kr)
-
(Dept. of Electrical & Electronic Engineering, Semyung University, Korea. E-mail :
hslee@semyung.ac.kr)
Copyright © The Korean Institute of Electrical Engineers
Key words
AC electric railway system, Harmonic resonance, RC bank
1. 서 론
교류 급전계통은 선로 구조, 변전 설비, 전차선로 임피던스 특성에 따라 필연적으로 특정 주파수에서 공진 현상이 발생한다. 이때 급전계통으로 유입되는
고조파 전류가 공진 주파수와 일치하거나 근접할 경우, 해당 성분이 증폭되어 계통 전압 왜곡, 보호 계전기의 오동작, 설비 과열 및 손상 등 심각한
문제가 발생할 수 있다. 실제로 철도 전력 시스템에서 보고되는 전력 품질 문제의 상당수는 이러한 공진 특성과 밀접한 관련이 있다.
최근들어 철도 차량의 추진 제어 장치가 점점 고성능화·다양화되면서 기존보다 폭넓은 주파수 대역의 고조파가 계통에 유입되고 있다. 특히 컨버터 제어주파수가
높은 고속열차와 전동차가 투입된 이후 이러한 문제가 더욱 부각되었다. 이러한 철도차량은 대규모 전력 전자 장치를 활용한 추진 제어 방식을 채택하고
있으며, 이는 다종의 고조파 전류를 발생시키는 원인이 된다[1-6].
더 나아가 철도 인프라 설비와 철도 차량 간에는 고조파 측면에서 밀접한 상관관계가 존재한다. 차량의 전력 전자 장치에서 발생하는 고조파 전류는 급전선로와
변전소 설비를 통해 전력망에 유입되며, 인프라의 임피던스 특성과 결합해 특정 고조파 성분을 증폭시키거나 새로운 공진 현상을 발생시킬 수 있다. 반대로,
급전계통의 구조적 특성과 공진 주파수 분포는 차량에서 발생하는 고조파 전류의 확대율과 파형 왜곡 정도를 결정짓는다. 실제로 일부 구간에서는 차량에서
발생되는 특정 고조파가 급전계통의 공진 주파수와 겹치면서 전압 파형 왜곡이 크게 확대되어 전력설비의 손상이 발생하고 열차운행이 중단되는 사례가 발생하였다.
즉, 철도 차량과 인프라 설비는 독립적인 요소가 아니라 상호작용하는 하나의 전력 시스템으로서, 양자의 특성을 동시에 고려하지 않으면 효과적인 고조파
억제 대책을 마련하기 어렵다[7-10]. 이러한 사례는 교류 급전계통에서 공진 특성 분석과 고조파 확대율 개선이 시급함을 잘 보여준다.
본 논문에서는 교류급전계통에서 공진특성 개선을 위해 급전계통의 공진특성을 고조파 확대율과 급전계통 등가임피던스 측면에서 분석하고, 효과적인 고조파
확대율 저감을 위한 수동필터(RC뱅크)의 파라미터 도출 및 이에 따른 고조파 확대율 개선효과를 나타내었다.
2. 교류급전계통 고조파 해석
2.1 다단자망 기반 교류급전계통 고조파 회로모델
교류 전기철도는 통상 단상 25kV/50kV 급전방식에 기초를 두고 있으며 단상의 대용량 전력을 공급받기 위해서는 3상 전력계통과 연계된다. 이를
위해 철도 교류급전회로는 그림 1과 같이 전철변전소의 스코트변압기에 의해 단상으로 변환된 전력을 급전선, 전차선, 레일에 통해 차량에 공급한다. 단권변압기는 10km 정도의 간격으로
설치되며 이곳에 상하행선을 연결하는 개폐기가 함께 설치된다.
그림 1. 교류급전시스템의 구조
Fig. 1. Structure of AC electric railway system
일반적으로 정밀한 고조파 해석을 위해서는 회로를 4단자 분포정수회로 또는 복수개의 T형(π형) 등가회로로 모델링하고 이를 해석하는 것이 바람직하다.
그러나 교류급전시스템에서는 고조파 전류원인 전기차가 양쪽 단권변압기의 2차측(T-R)에 전차선과 레일을 통해 각각 접속되어있고 단권변압기의 1차측(T-F)은
급전선을 통하여 연결되어 있다. 더구나 전차선로의 3가지 도체군(T,R,F)의 상호간에는 정전용량에 의한 어드미턴스가 존재하므로 4단자 정수로 표현할
수 없다. 이에 교류급전시스템의 정밀한 고조파 해석을 위해 그림 2와 같이 급전계통을 구성하는 각 요소(변전소 등가전원계통 MZS, 변전소측 단권변압기 MSSAT, 전차선로 MCAT, ATP용 단권변압기 MAT,
차량의 고조파 전류원 MTR 및 급전구분소의 단권변압기 MSP)에 대해 6단자 정수를 정의하고 이로부터 고조파 회로를 모델링하여 해석하는 기법이 개발되었다.
[11-12]
그림 2. 다단자망 기반 급전계통 구성요소 모델링
Fig. 2. Modeling of electric railway system components based on multi-stage networks
2.2 고조파 해석 방법
차량에서 발생한 고조파전류(IHAR)가 전철변전소로 유입되는 과정에서 급전계통의 회로요소에 의한 고조파의 공진현상을 해석한다. 이를 위해 위 절에서
제시된 6단자 정수 기반의 급전계통 해석기법을 활용하여 계산할 수 있다.
그림 2의 회로모델을 구분소 측부터 변전소까지 차례로 집계하면 식 (1)과 같이 나타낼 수 있다.
전원계통의 내부전압은 순수한 기본파 성분으로 가정할 수 있음으로 고조파 해석시에는 VS를 0으로 할 수 있다. 식 (1)의 연립방정식을 풀면 급전구분소에 흐르는 고조파 전류 ISP와 VSP를 구할 수 있고, 순차적으로 급전선로의 회로요소 행렬식을 곱하면 급전시스템의
각 요소에 흐르는 고조파 전압 및 전류를 구할 수 있다.
3. 교류급전계통 고조파 공진특성 분석
3.1 경의선 급전계통의 고조파 공진 사례
경의선 동두천~연천구간 단선 신규개통으로 의정부전철S/S에서 공급하는 구간이 그림 3과 같이 동두천SP에서 연천SSP까지 연장되었다.
그림 3. 의정부전철SS~연천SSP 급전계통도
Fig. 3. Power supply diagram between Uijeongbu SS to Yeoncheon SSP
연장된 의정부전철S/S~연천SSP 구간에서 신규 전동차가 운행하는 중에 연천SSP의 전차선 전압이 상승하여 피뢰기가 소손되는 사고가 발생하였다. 사고
발생 후 연천SSP에 RC-Bank (750[Ω], 0.18[㎌])를 설치하였으며, 설치 후에는 피뢰기 소손이 발생하지 않았다.
피뢰기 소손이 발생될 때의 연천SSP의 전압파형과 주파수 스펙트럼은 그림 4와 같으며, 이때 철도차량의 전압/전류의 파형 및 주파수 스펙트럼은 그림 5와 같다. 연천SSP의 주파수 스펙트럼과 차량측 전압/전류의 주파수 스펙트럼을 보면 동일한 주파수인 17차 고조파(1032Hz)에서 고조파 전압 및
전류가 발생함을 보여주고 있다.
그림 4. 연천보조급전구분소 전압 파형 및 주파수 스펙트럼
Fig. 4. Voltage waveform and frequency spectrum at Yeoncheon SSP
그림 5. 운행열차의 전압/전류 파형 및 주파수 스펙트럼
Fig. 5. Voltage/current waveform and frequency spectrum of operating train
의정부전철SS~연천SP구간 급전선로의 고조파공진 특성을 파악하기 위하여 고조파전류 확대율을 측정하였다. 고조파 확대율은 피뢰기 소손이 발생 당시와
동일한 급전계통조건과 고조파 저감용 RC-Bank 설치 후의 급전계통조건에서 측정하였으며 그 결과는 그림 6과 같다. RC-Bank가 없는 기존의 급전계통에서는 선로의 공진주파수는 17차 고조파이며 고조파전류는 6.33[pu] 확대되는 것으로 나타났다.
고조파 저감용 RC-Bank를 설치한 후에는 급전계통의 공진주파수는 15차 고조파로 변경되었으며 고조파 전류는 4.39[pu] 확대되는 것으로 나타났다.
그림 6. 의정부전철SS~연천SP구간의 고조파전류확대율 측정값
Fig. 6. Measured harmonic current amplification rates of the Uijeongbu SS~Yeoncheon
SP section
연천SSP 말단 T-R에서 바라본 의정부전철SS~연천SSP 구간의 철도급전계통 고조파임피던스를 RC-Bank 설치 전/후로 측정하였으며 그 결과는
그림 7과 같다. RC-Bank 설치전의 임피던스를 보면 17차 고조파에서 1012[Ω]의 임피던스를 나타내고 있으나, RC-Bank를 설치함으로써 528[Ω]으로
감소함을 보이고 있다. 1034[Hz]에서 고조파 발생원인 차량에서 발생된 전류 22.3[A]를 말단측 임피던스 1012[Ω]과 곱하면 말단측에서의
전압은 22.57[kV]로 계산되며 이는 측정된 23.6[kV]와 유사한 값을 나타낸다.
그림 7. 말단측에서 바라본 철도급전계통고조파임피던스 실측값
Fig. 7. Measured system impedance as viewed from the terminal side
의정부전철SS~연천SSP 구간에서 발생한 연천SSP의 피뢰기 소손은 차량에서 발생되는 전류의 고조파주파수(그림 5)와 급전선로의 공진주파수(그림 6 RC-Bank 설치 전)가 17차 고조파에서 일치하여 차량에서 발생된 고조파전류가 급전선로를 따라 확대되고 선로 말단에서 해당 고조파차수의 전압이
상승(그림 4)되어 발생한 것으로 판단된다. RC-Bank 설치 후에는 급전선로의 공진주파수가 15차 고조파로 변경되고, 17차 고조파에서의 확대율이 3.36[pu]로
감소하고 고조파 임피던스가 52%감소함으로 차량에서 발생된 고조파 전류로 인한 17차 고조파 전압은 11.79[kV]로 감소될 것으로 예측되며, 이는
전차선 전압이 피뢰기 동작전압 이하로 유지되어 소손이 발생하지 않는 것으로 판단된다.
3.2 경의선 급전계통 해석
3.1절에서 측정된 경의선 급전계통의 고조파 공진현상을 본 절에서는 해당 철도 급전계통의 고조파 해석을 통해 발생된 고조파 공진현상을 재현하고 고조파
공진을 억제하기 위한 고조파저감설비의 저감효과를 예측하고자 한다.
고조파 해석을 수행할 의정부SS~연천SSP구간의 철도급전계통은 그림 3과 같이 복선+단선의 형태로 급전거리는 43.135km이다. 이 중 의정부SS~동두천SP 구간은 복선구간으로 22.835km구간이며, 동두천SP~연천SSP
구간은 단선구간으로 거리는 20.3km이다. 의정부전철SS의 주변압기 및 단권변압기 파라미터는 표 1과 같으며, 전차선로 파라미터는 의정부SS~연천SSP 구간의 선로정수를 주파수별로 측정하여 계산하였으며 그 값은 그림 8과 같다.
표 1. 변압기 파라미터
Table 1. Transformer parameter
|
구분
|
파라미터
|
|
주변압기
|
용량
|
60 MVA
|
|
%Z
|
10, X/R=23
|
|
단권변압기
|
용량
|
10 MVA
|
|
Z
|
0.45[$\Omega$]
|
그림 8. 의정부전철SS~연천SP구간의 선로정수 측정값
Fig. 8. Measured feeding line constants of the Uijeongbu SS~Yeoncheon SP section
의정부전철SS~연천SSP 급전구간에 대해 2절에서 제시된 다단자망 기반 고조파해석모델을 활용하여 고조파 해석을 수행하였다. 고조파 해석은 고조파전류
확대율과 말단측에서 바라본 계통의 임피던스 측면에서 수행하였다. 고조파 전류 확대율 예측은 실측값과 비교하기 위하여 RC-Bank (750[Ω] 0.18[㎌])
유무에 따라 수행하였다.
고조파 해석을 통한 고조파전류 확대율 계산값을 그림 9에 나타내었으며, 말단측에서 바라본 철도급전계통의 고조파임피던스를 그림 10에 나타내었다. RC-Bank가 없는 경우 17차고조파에서 6.39[pu], RC-Bank가 있는 경우 15차 고조파에서 4.26[pu] 확대되는
것으로 계산되었으며 그림 6의 고조파 확대율 실측값과 비교하여 29차 고조파 이하의 고조파에서는 실측값과 예측값의 편차가 0.1 이내로 유사한 경향을 보인다. 다만 29차 이상의
고차고조파에서는 실측값과 계산값의 편차가 최대 2.0까지 발생하고 있다. 말단측에서 바라본 철도급전계통 고조파임피던스 계산값은 27차 고조파 이하에서는
그림 7의 실측값과 유사한 경향을 보인다. 다만 29차 고조파 이상에서는 실측값의 경우 49차고조파까지 증가하는 경향을 보이나, 예측값에서는 33차 고조파까지
증가하고 이후에는 감소하는 경향을 보이고 있다.
그림 9. RC-Bank 유무에 따른 고조파 전류 확대율 예측
Fig. 9. Calculation of harmonic current amplification ratio according to with or without
RC-Bank
그림 10. RC-Bank 유무에 따른 철도급전계통고조파임피던스 예측
Fig. 10. Calculation of terminal system impedance with or without RC-Bank
4. 고조파확대율 저감을 위한 RC 파라미터 도출
의정부전철SS~연천SSP구간에서 발생한 연천SSP의 피뢰기 소손은 차량의 고조파전류와 급전계통의 고조파 공진점이 일치하여 고조파 전압이 상승하여 발생되었음을
확인하였고, 차량과 급전선로와의 고조파 공진을 회피하기 위하여 RC-Bank(750[Ω] 0.18[㎌])를 투입하였으며 고조파 공진 회피 및 확대율
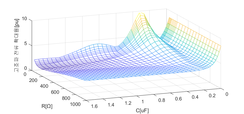
저감효과를 보였다. 해당 구간에서 고조파전류 확대율을 감소하는 최적의 RC파라미터를 찾기 위해 R과 C값을 변동하여 고조파확대율 계산을 수행하였으며,
그 결과를 그림 11에 나타내었다. 전체적으로 C값은 증가할수록 확대율이 감소되는 경향을 보이고 있으며, R값은 C값에 따라 변화되나 C값이 0.6[㎌] 이상인 경우
150~200[Ω]의 범위에서 확대율이 가장 감소되는 경향을 보이고 있다. C값이 증가할수록 RC-Bank에서 소비전류가 증가함으로 적절한 C값을
선택하여야 한다.
그림 11. RC파라미터 변화에 따른 고조파전류 확대율
Fig. 11. Harmonic current amplification ratio according to RC parameter change
그림 11의 RC파라미터 변화에 따른 고조파전류 확대율로 선정한 RC파라미터 선정하더라도 이는 의정부전철SS~연천SP의 특정구간에 대한 파라미터로써, 급전계통의
특성 즉 공진주파수가 변동되면 계통의 특성에 최적화하는 새로운 RC파라미터를 도출하여야 한다. 급전시스템의 공진주파수는 급전거리, 변압기 및 전차선로의
임피던스, 선로의 구성상태 등에 따라 변화하게 된다. 따라서 급전계통의 공진주파수를 기준으로 각 공진주파수 별로 RC변화에 따른 고조파전류확대율을
계산하여 공진특성에 적절한 RC파라미터를 선정할 필요가 있다. 공진주파수별 고조파확대율 예측을 위하여 그림 8의 선로정수 데이터를 활용하고 공진주파수가 15차~31차 고조파가 되도록 표 2와 같이 선로의 길이를 조정하여 급전선로를 구성하였다.
표 2. 공진주파수에 따른 선로길이
Table 2. Line length according to resonant frequency
급전선로
공진주파수
|
Case1
15차
|
Case2
19차
|
Case3
23차
|
Case4
27차
|
Case5
31차
|
|
선로 길이[km]
|
40
|
28
|
18
|
12
|
7.5
|
급전선로의 공진주파수를 토대로 RC파라미터 변동에 따른 고조파전류 확대율을 예측한 결과를 그림 12에 나타내었다. R이 550[Ω] 이상인 경우에는 모든 경우에 C가 증가할수록 고조파전류 확대율이 감소되는 경향을 보이며, 모든 사례에서 RC파라미터가
R=120~140[Ω] C=1.6[㎌]일떄 고조파전류 확대율이 가장 많이 감소되는 경향을 보이고 있다. 그러나 RC-Bank에서 C값의 증가는 전차선
전류를 상시 증가시키는 원인이 됨으로 적절한 C를 선정할 필요가 있다. 적절한 RC파라미터를 선정하는 방법은 다양한 기준이 있을 수 있으나, 아래와
같이 3가지 기준을 선택하였다.
-
➀ 급전선로의 공진주파수를 감소시킬 것
-
➁ 공진주파수에서의 확대율이 3 이하일 것
-
➂ RC-Bank의 소비전류가 작을 것
위의 기준에 따라 선정된 RC파라미터 및 RC-Bank 설치시의 확대율을 표 3에 정리하였다.
그림 12. 공진주파수별 RC파라미터 변동에 따른 고조파 전류 확대율
Fig. 12. Harmonic current amplification rate according to RC parameter variation by
resonant frequency
표 3. RC파라미터 및 고조파전류 확대율
Table 3. RC parameters and harmonic current amplification ratio
|
|
RC-Bank 설치 전
|
R[Ω]
|
C[uF]
|
RC-Bank 설치 후
|
|
공진 주파수
|
확대율 [pu]
|
공진 주파수
|
확대율 [pu]
|
|
Case 1
|
15차
|
11.29
|
250
|
0.60
|
13차
|
2.68
|
|
Case 2
|
19차
|
9.24
|
500
|
0.50
|
17차
|
2.87
|
|
Case 3
|
23차
|
17.00
|
400
|
0.40
|
21차
|
2.29
|
|
Case 4
|
27차
|
9.21
|
300
|
0.40
|
25차
|
2.43
|
|
Case 5
|
31차
|
9.59
|
350
|
0.40
|
29차
|
2.01
|
위의 표 3에 보이는 바와 같이 급전선로의 공진주파수에 따라 RC-Bank의 파라미터가 변경된다. 기존의 RC-Bank는 파라미터가 고정되어 있어 급전선로의
특성에 따라 각각의 특성에 맞는 파리미터를 갖는 RC-Bank를 설치해야 함으로 실용성 측면에서 문제가 있다.
따라서 이를 보완하기 위하여 RC파라미터 가변형 RC-Bank를 제안한다. 제안된 RC가변형 RC-Bank는 측정된 급전선로의 공진주파수에 맞추어
RC파라미터를 변경할 수 있도록 RC-Bank의 구조를 R병렬 및 C병렬의 형태로 그림 13과 같이 구성하였다. 이를 위하여 RC 파라미터를 표 4와 같이 수정하였다.
그림 13. RC가변형 RC-Bank 구조
Fig. 13. RC variable RC-Bank structure
표 4. RC가변형 RC-Bank 구현
Table 4. Implementation of RC variable RC-Bank
|
|
설치전
공진
주파수
|
RC가변형 RC-Bank 설치
|
|
SW1
|
SW2
|
R[$\Omega$]
|
C[$\mu$F]
|
공진
주파수
|
확대율
[pu]
|
|
Case 1
|
15차
|
ON
|
ON
|
250
|
0.60
|
13차
|
2.68
|
|
Case 2
|
19차
|
OFF
|
ON
|
500
|
0.60
|
17차
|
2.70
|
|
Case 3
|
23차
|
ON
|
ON
|
250
|
0.60
|
21차
|
2.31
|
|
Case 4
|
27차
|
ON
|
OFF
|
250
|
0.40
|
25차
|
2.55
|
|
Case 5
|
31차
|
ON
|
OFF
|
250
|
0.40
|
29차
|
2.08
|
급전선로의 공진주파수가 27차 고조파인 경우 (Case 4) RC가변형 RC-Bank는 SW1 ON, SW2 OFF하여 250[Ω] 0.4[㎌]의
값을 갖게 되며, RC-Bank 설치 후 급전선로의 공진주파수는 25차 고조파로 변경되었으며 공진주파수에서의 고조파전류 확대율은 9.21에서 2.55로
감소되었다.
제안된 RC가변형 RC-Bank를 적용하였을 때 결과를 그림 14에 나타내었다. 각 Case별로 급전선로의 공진주파수가 RC-Bank 투입전과 비교하여 감소되었으며, 공진점에서의 고조파전류 확대율은 선정기준인 3
미만인 것으로 예측되었다.
그림 14. RC가변형 RC-Bank 설치 효과
Fig. 14. Effect of installing RC variable RC-Bank
5. 결 론
본 연구에서는 교류급전계통에서 발생한 고조파 공진 사고사례를 계측하고, 고조파 확대율을 지표로 하여 공진 특성을 체계적으로 분석하였다. 분석 결과,
차량에서 발생한 고조파 전류가 급전계통의 공진주파수와 일치하여 해당주파수의 고조파 전압이 증폭되었으며, 이는 전력 설비의 열적·전기적 손상으로 이어져
계통 신뢰성 저하를 초래할 수 있음을 확인하였다.
이와 같은 문제를 저감하기 위하여, 본 연구에서는 RC가변형 RC뱅크를 신규로 제안하였다. 제안된 방식은 계통의 공진 특성에 따라 제어 가능하도록
설계되어, 다양한 공진 조건에서 고조파 확대율을 효과적으로 억제할 수 있음을 시뮬레이션을 통해 검증하였다. 특히, 기존의 정적 보상 방식에 비해 RC가변형
RC뱅크는 주파수 선택성과 조정 유연성이 확보되어, 다양한 운전 조건하에서 고조파 안정성을 향상시키는 데 유효함을 입증하였다.
따라서 RC가변형 RC뱅크는 교류급전계통에서의 고조파 공진 문제를 완화할 수 있는 실질적 대책으로서, 향후 고조파 억제 및 전력 품질 향상을 위한
효과적인 보상 기술로 활용될 수 있을 것으로 기대된다.
Acknowledgements
본 연구는 2025년도 중소벤처기업부 중소기업기술개발지원사업 “철도 급전계통 고조파 감시기능을 갖는 RC가변형 RLC-Bank개발”의 지원으로 수행되었음..(과제번호
SM253201)
References
K. Song, M. Wu, S. Yang, Q. Liu, V. G. Agelidis, G. Konstantinou, 2020, High-Order
Harmonic Resonances in Traction Power Supplies: A Review Based on Railway Operational
Data, Measurements and Experience, IEEE Trans. on Power Electronics, Vol. 35, No.
3, pp. 2501-2518

P.-M. Nicolae, M.-S. Nicolae, R.-F. Marinescu, R.-C. Nicolae, I.-D. Nicolae, V. Kese,
2020, Theoretical and Practical Aspects of Harmonics from a Railway Traction System
Supplying Line, pp. 488-493

M. Ogasa, 2000, Harmonic compensator for 50/60 hz fed ac railway vehicles, Quarterly
Report of Rtri, Vol. 41, No. 1, pp. 37-42

Z. He, H. Hu, Y. Zhang, S. Gao, 2014, Harmonic Resonance Assessment to Traction Power-Supply
System Considering Train Model in China High-Speed Railway, IEEE Trans. on Power Delivery,
Vol. 29, No. 4, pp. 1735-1743

S. Gao, X. Li, X. Ma, H. Hu, Z. He, J. Yang, 2017, Measurement-Based Compartmental
Modeling of Harmonic Sources in Traction Power-Supply System, IEEE Trans. on Power
Delivery, Vol. 32, No. 2, pp. 900-909

G. Son, Y. Choi, C. Kim, T. Ha, J. Kang, J. Kim, 2022, Analysis of the Reduction Effect
through R-C Bank due to the Increase Harmonic Resonance in the AC Electric Railway
Feeding System, The transactions of The Korean Institute of Electrical Engineers,
Vol. 71, No. 5, pp. 783-788

R. Zhang, X. Li, Y. Zhao, 2017, Harmonic resonance suppression strategy for a high-speed
railway TPSS with a SHE-PWM four-quadrant converter based on active-set secondary
optimization, Energies, Vol. 10, No. 10, pp. 1567-1590

A. Mariscotti, L. Sandrolini, 2021, Detection of Harmonic Overvoltage and Resonance
in AC Railways Using Measured Pantograph Electrical Quantities, Energies, Vol. 14,
No. 18, pp. 5645-5658

H. Hu, Y. Shao, L. Tang, J. Ma, Z. He, S. Gao, 2018, Overview of Harmonic and Resonance
in Railway Electrification Systems, IEEE Trans. on Industry Applications, Vol. 54,
No. 5, pp. 5227-5245

S. Chang, K. Oh, J. Kim, J. Kim, 2002, Harmonic analysis of electric railway feeding
system using a six-port network model, Journal of the Korean Institute of Electrical
Engineers A, Vol. 51, No. 6, pp. 255-261

H. Lee, C. Lee, G. Jang, S. Kwon, 2006, Harmonic analysis of the korean high-speed
railway using the eight-port representation model, IEEE Trans. on Power Delivery,
Vol. 21, No. 2, pp. 979-986

저자소개
He received the M.S. degree in electronic communication engineering from Hanyang University,
Seoul, South Korea, in 1993, and Ph.D. degree in electrical engineering from Korea
University, Seoul, South Korea, in 2013. He is currently a Principal Researcher with
Korea Railroad Research Institute (KRRI), Uiwang, South Korea. His research interests
include electric railway system analysis and design
He received the B.S., M.S. and Ph.D. degrees from Korea University, Seoul, South Korea,
in 2003, 2005, and 2010, respectively. He was a Research Professor with the School
of Electrical Engineering, Korea University, from 2010 to 2012, and an Assistant Professor
with the School of Electrical and Railway Engineering, Kyungil University, Gyeongsan,
South Korea, from 2012 to 2017. He was a Research Professor in the BK21+ Humanware
IT Program with Korea University. He is currently an Assistant Professor with the
Department of Electrical Engineering, Semyung University, Jecheon, South Korea.
He received the B.S., M.S. and Ph.D. degrees in electrical engineering from Hongik
University, Seoul, South Korea, in 1997, 1999, and 2010, respectively. He is currently
a Principal Researcher with Korea Railroad Research Institute (KRRI), Uiwang, South
Korea. His research interests include static and dynamic analysis of traction power
supply system.