이태승
(Tae-Seung Lee)
*iD
송유훈
(Yu-Hoon Song)
*iD
최지원
(Jiwon Choi)
*iD
국경수
(Kyung Soo Kook)
†iD
-
(Dept. of Electrical Engineering, Jeonbuk National University.)
Copyright © The Korean Institute of Electrical Engineers
Key Words
Battery Energy Storage System, Frequency Control Effect Index(FCEI), Power System, Frequency Nadir
1. 서 론
기후변화협약에 따라 세계 각국은 CO2를 발생시키는 화석연료의 비중을 줄이고자 노력하고 있으며 이에 따른 정책적인 노력에 의해 신재생에너지는 급격히 확대되고 있다[1]. 국제 에너지 기구(International Energy Agency, IEA)에 따르면 2030년까지 신재생에너지 용량이 2022년 대비 2.7배
증가할 것으로 예측되며, 국내에서도 11차 전력수급 기본계획에 따라 국내 신재생에너지 비율이 급격히 증가할 전망이다[2],[3].
이러한 신재생에너지의 발전 비중 확대 시 기존 동기발전원과 달리 관성과 주파수응답 제공이 본질적으로 어려운 신재생발전원의 특성으로 인해 외란 시 주파수
하락의 속도 및 크기가 악화됨에 따라 전력계통 신뢰도 및 전기품질 유지기준에서 규정하고 있는 주파수 유지기준을 위반할 수 있다[4]. 이때, 예비력을 제공하는 기존 발전원의 주파수 응답 성능으로는 주파수 제어 성능을 유지하기엔 제한적이므로 최근 속응성이 뛰어난 배터리 기반 전기저장장치(Battery
Energy Storage System, BESS)를 통한 예비력 제공이 많은 관심을 받고 있다[5].
국내 송·배전 사업자인 한국전력공사(KEPCO)는 1차 예비력 공급 자원으로써 총 336MW 규모의 주파수 조정용 BESS를 13개의 변전소에 나뉘어
송전망에 설치하였다. 또한, 총 978MW 규모의 계통안정화용 BESS는 6개의 변전소에 나뉘어 설치되어있으며 현재 발전제약완화를 목적으로 적용 중이다.
차후 송전선로 문제 해소 및 재생에너지 수용 증대로 인한 예비력 자원 부족 시 이러한 계통안정화용 BESS를 통한 예비력 제공이 필요해질 것으로 기대된다.
반면 국내 전력계통은 이웃 나라와 계통연계가 없는 독립 계통이고 국토 면적에 비해 전력수요가 높으며, 높은 수준의 재생에너지 확충 목표에 비해 민원
등으로 송배전망의 확충에 제한이 많아 향후 BESS가 더욱 적극적으로 설치되어 역할을 해야 할것으로 생각된다. 다만 BESS가 높은 가격의 설비이고
전기에너지 공급이 공공기관을 통해 이루어지는 국내 전력산업의 환경을 고려할 때 국가 규모의 전력계통에 BESS를 목적에 맞게 효과적으로 설치할 필요가
있다.
한편, 전력계통의 주파수 안정도 확보를 위해 BESS의 설치 위치와 필요 용량을 도출하는 다양한 방법들이 기존 논문들을 통해 제안되어왔다[6],[7]. 그러나 기존 연구는 대부분 단일 운전 조건을 기준으로 BESS의 설치 위치와 필요 용량를 도출하는 방법을 제안하고 있다. 이러한 방법은 실제 전력계통은
계절·부하 수준·재생에너지 수용률에 따라 계통 운전 조건이 달라 하나의 운전 조건만을 기준으로 도출된 설치 위치와 필요 용량은 다른 운전 조건에 대해서는
주파수 안정도 기준을 충족하지 못할 가능성이 존재한다는 한계가 있다[6]. 또한, 기존 연구의 방법 중 대부분은 BESS의 필요 용량을 단일 모선에 집중적으로 배치하는 전제하에 신뢰도 기준을 충족하는 용량을 산정하므로
두 모선 이상의 위치에 설치 시 주파수 응답 성능을 고려하지 못한다[7].
따라서 본 논문에서는 기존 연구와 달리 단일 운전 조건에 의존하지 않고 다양한 운전 조건을 고려함과 동시에, BESS 용량을 특정 단일 모선에 집중시키지
않는 분산 배치의 가능성을 열어둔 방법론을 제안하고자 한다.
이에 본 논문에서는 BESS의 설치 위치별로 전력계통의 주파수제어 성능에 대한 BESS의 기여도를 정량적으로 평가하고, 이를 반영하여 BESS의 최적
위치 및 필요 용량을 도출하는 방법을 제안한다.
특히 기존의 주파수제어 성능 평가가 주파수 최저점(Nadir)이나 주파수 변화율(Rate of Change of Frequency, RoCoF) 등의
단일 시점 지표 기반 방법과 달리, 본 논문에서는 계통외란에 의한 주파수 왜곡 시 그 편차로 계산된 면적을 활용하여 정량적 성능 지표를 제시하고 이를
다시 다양한 전력계통 운전 조건에 대한 통합 성능 지표로 확대하여 시스템 지표를 제안하였다.
이러한 정량적이고 통합적인 주파수제어 성능지표를 이용하여 BESS 설치 후보 위치별로 BESS의 주파수 제어성능 기여도를 정량화하고, 다양한 전력계통
운전 조건에 대해 통합하여 최적의 BESS 설치 위치와 필요 용량을 도출한다. 특히 BESS의 필요 용량을 단위 용량 설치마다 최적의 설치 위치를
재도출하여 산정함으로써 BESS의 분산 배치가 고려될 수 있다.
제안된 방법의 유효성은 국내 전력계통의 계통계획 DB를 이용한 모의 해석을 통해 검증 되었다.
2. 전력계통 주파수 제어 효과의 정량화 방법
2.1 Dynamic Frequency Variation Area(DFVA)
주파수 변동 면적 기반 벡터는 Dynamic Frequency Variation Area(DFVA)로서 아래 그림과 같이 응답 주파수 편차를 단위
시간 간격($T$)으로 나눈 후 단위 시간마다 계산된 면적을 항으로 갖는다[7]. 이때 주파수 편차($\Delta f$)는 발전기 연계 모선의 주파수를 발전기의 관성상수로 가중 평균한 COI(Center Of Inertia)
주파수를 사용해 계산하였다.
그림 1. DFVA 개념도 (a) : 외란 시 주파수 변동 면적, (b) : 첫 번째 구간의 주파수 변동 면적 계산 과정
Fig 1. Conceptual diagram of DFVA: (a) frequency deviation area during a disturbance,
and (b) calculation process of the frequency deviation area in the first interval
단위 시간 구간의 주파수 변동 면적을 나타내는 $\Lambda(h)$와 $\Lambda(h)$로 구성된 벡터인 $\Lambda$는 아래 식과 같이
계산한다.
이때 $h(=1, 2, 3, ..., \sigma)$는 각 단위 시간 구간의 인덱스를 의미하며, $T$는 단위 시간 간격을 의미한다. $\Delta
t$는 주파수 편차의 샘플링 시간 간격을 나타내고, $k$는 단위 시간 구간 내 샘플 인덱스이며, $k_{end}(=\frac{T}{\Delta t})$는
단위 시간 구간 내 총 샘플 개수를 의미한다. 또한, $t_{trip}$은 발전기 탈락이 발생한 시점을 나타내며 $\Delta f(t)$는 공칭주파수
대비 주파수 편차를 의미한다. 이에 따라 식 (1)은 $h$번째 단위 시간 구간의 주파수 변동 면적을 $\Delta t$ 간격으로 이산 적분하여 계산하며, 식 (2)은 각 단위 시간 구간의 주파수 변동 면적을 성분으로 갖는 벡터를 나타낸다.
다만, 이와 같이 계산되는 DFVA 값은 해당 주파수응답의 주파수 변동량 절대값만을 나타내는 반면 전력계통에서는 주파수응답에 대해 일정 수준의 주파수
변동은 허용함에 따라 이러한 주파수 변동량은 절대값이 아니라 허용범위에 대한 상대적인 비교를 통해 평가되어야 한다.
이때 국내 전력계통의 신뢰도 기준에 따른 최대 허용 주파수 편차인 $\Delta f_{allowable.Max}$ 기반 DFVA인 $\Lambda_a$는
다음 식과 같이 계산될 수 있다.
그림 2. 최대 허용 주파수 편차 기반 DFVA 개념도
Fig 2. DFVA concept based on the maximum allowable frequency deviation
이에 따라 본 논문에서는 전력계통의 주파수 제어 성능을 신뢰도 기준에 따른 주파수 유지 기준을 기반으로 주파수 응답 성능을 정량화하기 위한 단위지표를
위해 DFVA를 활용하고자 한다.
2.2 주파수응답 성능 단위지표
본 절에서는 국내 전력계통의 신뢰도 기준에 따른 주파수 최대 허용 폭을 기준으로 전력계통의 주파수 제어 성능을 정량화하기 위해 주파수응답 성능 단위지표인
$\lambda$를 제안한다. 제안한 $\lambda$는 응답 주파수 편차 기반 DFVA인 $\Lambda$와 최대 허용 주파수 편차 기반 DFVA인
$\Lambda_a$의 상대적 차이를 계산한 후 이에 대한 $\Lambda_a$ 벡터 방향 성분이며 다음 식과 같이 계산한다.
이때 $\lambda$는 주파수 제어 성능의 상대적 효과를 나타내는 정량화 지표로서 $\lambda$의 값이 작을수록 주파수 제어 성능이 우수함을
나타낸다. 즉 $\Lambda$와 $\Lambda_a$의 상대적 차이를 계산함으로써 주파수 편차가 허용범위 내에서 얼마나 안정적으로 유지되는지를 정량적으로
평가할 수 있다.
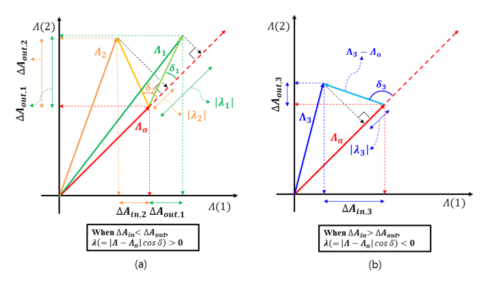
이러한 정량화 개념은 다음 그림 3과 같이 도식화할 수 있으며, $\Lambda$의 성분이 2개일 때 서로 다른 세 가지 응답 주파수에 대한 주파수 응답 성능 단위지표 계산 과정을
벡터 관계로 나타낸 그림이다. 이때 $\Delta A_{in}$는 응답 주파수 편차가 주파수 최대 허용 폭 내부에 유지되는 구간의 면적을 의미하고
$\Delta A_{out}$는 최대 허용 주파수 편차를 초과한 영역의 면적을 의미한다. 이후 $\Delta A_{in}$과 $\Delta A_{out}$는
허용범위 내 응답 면적과 허용범위 초과 응답 면적으로 표기한다.
그림 3. 주파수응답 성능 단위지표 개념도(a): 허용범위 초과 응답 면적이 우세한 경우, (b): 허용범위 내 응답 면적이 우세한 경우
Fig 3. Unit frequency-response performance index: (a) dominant area exceeding the
allowable range, and (b) dominant area within the allowable range
위 그림 3의 (a)와 같이 허용범위 초과 응답 면적이 허용범위 내 응답 면적보다 상대적으로 큰 경우에는 $\Lambda - \Lambda_a$와 $\Lambda_a$
사이의 각인 $\delta$가 90도 미만이므로 $\cos(\delta) > 0$, 즉 $\lambda > 0$이 된다. 이는 응답 주파수 편차가
주파수 최대 허용 폭 밖에서 상대적으로 더 많이 유지되었음을 의미한다. 한편 그림의 $\lambda_1$와 $\lambda_2$는 모두 양의 값을
갖지만 $\lambda_1$가 $\lambda_2$보다 크다는 것은 허용범위 초과 응답 면적이 상대적으로 크고 허용범위 내 응답 면적이 상대적으로
작음을 나타낸다. 즉 $\lambda$가 클수록 허용범위를 벗어나는 주파수 편차 기반 면적이 크기 때문에 이는 전력계통의 주파수 제어 성능은 작아짐을
나타낸다.
반면 그림 3의 (b)는 허용범위 내 면적이 상대적으로 큰 경우에는 $\Lambda - \Lambda_a$와 $\Lambda_a$ 사이의 각인 $\delta$가
90도 초과이므로 $\cos(\delta) < 0$, 즉 $\lambda < 0$이 된다. 이는 응답 주파수 편차가 주파수 최대 허용 폭 내에서 상대적으로
더 많이 유지되었음을 의미하며, 허용 폭을 초과한 구간이 존재하더라도 그 비중이 $\lambda > 0$인 주파수 응답에 비해 작으므로 주파수 최대
허용 폭을 기준으로 볼 때 상대적으로 우수한 주파수 응답 성능이 확보되었음을 나타낸다.
이에 따라 $\lambda$의 부호는 주파수 응답 편차가 주파수 최대 허용 폭의 밖과 안 중 어느 영역에서 상대적으로 비중이 높은지를 나타내며, 그
크기는 허용 폭에 대한 편차의 상대적 정도를 정량적으로 표현한다. 즉, 응답 주파수가 주파수 최대 허용 폭을 기준으로 확보한 주파수 제어 성능을 정량적으로
평가할 수 있다.
2.3 주파수 제어 효과 정량화 지표
본 절에서는 앞서 제안한 $\lambda$를 활용하여 위치별 BESS의 주파수 제어 성능 기여도를 상대적이고 정량적으로 평가하기 위한 정량화 지표로서
Frequency Control Effectiveness Index(FCEI)를 제안하고자 한다. 주파수 제어 효과 정량화 지표인 $FCEI$는 응답
주파수 중 제어 성능이 가장 낮은 응답 주파수에 대한 $\lambda$인 $\bar{\lambda}$를 기준으로 응답 주파수별 $\lambda$를
상대적인 제어 성능으로 정량화하며, 아래 식 (6)과 같이 계산한다. 이때 $\bar{\lambda}$는 응답 주파수에 대해 계산된 $\lambda$ 중 가장 큰 값으로 정의한다.
위 식에서 사용된 지수함수는 다중 클래스 분류 문제에서 상대적 우위성을 정량화하는데 사용되는 Softmax 함수를 차용한 것으로써 기준값 $\bar{\lambda}$
대비 평가대상의 성능 차이를 지표에 민감하게 반영하기 위해 적용하였다. 이때, 비율계수 1000은 평가대상의 $FCEI$ 값들이 가시적으로 비교가능한
수준의 크기로 도출되도록 하는 값으로써 사례연구의 일부 결과들을 사전에 분석하여 지표 설정에 활용하였다. 따라서 이러한 배율 계수는 평가대상 간 우열관계에는
영향을 주지 않게 된다.
본 논문에서는 이와 같이 정의된 $FCEI$을 이용하여 본 논문에서는 BESS의 주파수 제어 성능에 대한 기여도를 정량화하여 BESS의 최적 위치를
선정하고자 한다. 다만, $FCEI$를 통해 설치 위치별 상대적 성능만을 비교하는 것만으로는, 실제 전력계통에서 요구되는 최적의 BESS 설치 위치와
필요 용량을 도출하기에 충분하지 않다. 이를 위해서는 전력계통의 다양한 운전 조건(계절, 부하 수준, 재생에너지 출력 등)에 대해 산정된 $FCEI$
결과를 통합적으로 고려하고, 용량 증가 단계마다 최적의 위치를 재선정하여 BESS의 분산배치까지 반영할 수 있는 절차가 필요하다.
3. 주파수 제어 효과 정량화 지표 기반 BESS 위치 및 용량 산정 방법
본 절에서는 위치별 BESS의 주파수 제어 효과를 정량화하는 정량적 성능 지표인 $FCEI$를 활용한 BESS의 최적 위치와 용량 산정 순서도를 다음
그림 4와 같이 제시한다.
우선 각 후보 위치인 $i$와 운영 조건인 $j$에 대하여 단위 용량의 BESS를 설치한 후 N-1 상정고장에 따른 주파수 응답을 모의한다. 이때
운영 조건마다 서로 다른 최적 위치가 도출될 수 있으므로 이를 반영하기 위해 대표 운영 조건들을 선정한다. 대표 운영 조건은 미래 전력계통의 운영
조건 중 저관성 조건들로 선정하였다. 이는 관성 수준이 낮을수록 외란에 대한 전력계통의 주파수 안정도가 취약해져 BESS의 주파수 제어 성능을 가장
보수적으로 평가할 수 있기 때문이다. 대표 운영 조건들에 대해 계산된 $FCEI_{i, j}$의 평균값을 시스템 주파수 제어 효과 지표로 정의하며
이를 $SYS\_FCEI_i$라 한다.
그림 4. BESS의 최적 위치 및 용량 산정 순서도
Fig 4. Flowchart of the Proposed Method for Optimal Placement and Sizing of BESS
즉, $SYS\_FCEI_i$는 하나의 위치에서 선정된 운영 조건들에 따라 도출된 $FCEI_{i, j}$의 평균값으로서 운영 조건 변화에 따른 주파수
제어 성능의 변동성을 반영한 종합 성능 지표이다. 이때 제안한 $SYS\_FCEI_i$는 다음 식과 같이 계산한다.
계산된 $SYS\_FCEI_i$는 각 후보 위치의 평균적 주파수 제어 효과를 나타내며 그 값이 클수록 해당 위치의 BESS가 주파수 안정도에 기여하는
정도가 우수함을 의미한다. 따라서 모든 후보 위치의 $SYS\_FCEI_i$를 비교하여 가장 큰 값을 갖는 위치를 BESS의 최적 위치로 선정한다.
즉, $SYS\_FCEI_i$가 최대가 되는 위치인 $i^{1st}$는 다음 식 (8)과 같이 결정된다.
이후 선정된 최적 위치 $i^{1st}$ 기반 BESS의 최적 용량을 산정한다. BESS의 최적 용량은 국내 전력계통의 신뢰도 고시인 “전력계통 신뢰도
및 전기품질 유지기준”에 따른 N-1 상정고장 시 주파수 유지기준인 59.7 Hz를 만족하기 위한 최소 필요용량을 도출하는 방식으로 산정한다[4]. 이를 위해 단위 용량인 $\Delta S_{BESS}$만큼의 BESS를 $i^{1st}$에 설치 후 동적 모의를 수행하여 최소과도주파수인 $f_{nadir}$
기반 주파수 안정도를 평가한다. 이때 주파수 유지기준을 만족한다면 설치한 BESS의 총 설비용량인 $S_{Total\_BESS}$가 BESS의 최적
용량이 되고 만족하지 못한다면 추가적인 BESS 설치가 필요하다. 다만 계통 내 BESS의 용량이 증가하면 BESS의 주파수 제어 효과가 비선형적으로
변화하므로 선정된 $i^{1st}$가 반드시 최적 위치로 유지된다고 보장할 수 없다.
따라서 앞서 제안한 순서도에 따라 추가적인 BESS를 설치 시 새롭게 계산한 $SYS\_FCEI_i$ 기반 최적 위치를 다시 선정하고 그 위치에 $\Delta
S_{BESS}$의 BESS를 설치하는 과정을 전력계통의 신뢰도 기준인 59.7Hz를 만족할 때까지 반복하여 BESS의 최적 위치와 용량을 산정해야
한다. 이러한 순서도의 타당성을 검증하기 위해 제안한 방법론을 실제 전력계통 모델에 적용하여 BESS의 최적 위치 및 용량 산정 결과를 사례연구를
통해 분석하고자 한다.
4. 사례연구
4.1 검토 계통 및 모의 시나리오
본 절에서는 전력수급기본계획에 따라 구축된 PSSⓇE 기반 30년도 국내 계통계획 DB를 통해 사례연구를 진행하였다. 앞서 4장에서 제안한 위치 및
용량 산정 방법의 실효성을 검증하기 위해 국내 전력계통 내 주요 154kV 변전소를 중심으로 BESS 설치 후보 위치를 정의하고 대표 운영 조건을
선정하여 PSSⓇE 기반 동적 모의를 수행하였다. 이를 통해 BESS 설치 후보 위치별 BESS의 주파수 제어 효과를 정량화하고 앞서 정의한 정량화
지표를 기반으로 최적 위치와 용량을 산정하였다.
BESS의 설치 위치는 계통 내 154kV 변전소 중 19개의 위치를 대상으로 분석을 수행하였다. 각 후보 위치는 인덱스 $i = [1, 2, ...,
18, 19]$로 정의하였고 각 인덱스 $i$ 에 대응되는 모선 번호 및 이름은 다음 표 1과 같이 구성하였다.
표 1. 전력계통 내 BESS 설치 후보 위치 (i) 정의
Table 1. Definition of Potential BESS Installation Locations (i) in the Power System
|
Index (i)
|
Bus Number
|
Bus Name
|
Index (i)
|
Bus Number
|
Bus Name
|
|
1
|
5520
|
Yeongju
|
11
|
6460
|
Sin Gimje
|
|
2
|
6980
|
Yesan
|
12
|
6575
|
Gimje
|
|
3
|
7110
|
Sin Namwon
|
13
|
6710
|
Sin Gyeryong
|
|
4
|
8325
|
Yeongcheon
|
14
|
7510
|
Sin Hwasun
|
|
5
|
10340
|
Hamyang
|
15
|
8260
|
Ulju
|
|
6
|
10750
|
Bubuk
|
16
|
8380
|
Gyeongsan
|
|
7
|
4310
|
Seo Anseong
|
17
|
8830
|
Nongong
|
|
8
|
4710
|
Sin Yongin
|
18
|
9830
|
Ulsan
|
|
9
|
5760
|
Sin Chungju
|
19
|
10310
|
Uiryeong
|
|
10
|
5970
|
Sokcho
|
|
|
|
위 표 1의 각 인덱스에 해당하는 후보 위치는 국내 전력계통의 154 kV 모선 중 BESS 설치가 가능한 지점을 대상으로, 실제 운용 중인 계통안정화용 및
주파수조정용 BESS의 설치 모선을 기반으로 선정하였다.
본 논문에서 BESS의 제어알고리즘은 국내 전력계통에서 상용 운전 중인 주파수조정용 BESS의 제어알고리즘을 적용 하였다. 이때 주파수조정용 BESS는
전력계통의 정상상태와 과도상태에 따라 제어모드를 구분하여 각 계통 상태에 맞는 주파수제어 기능을 수행하도록 아래 표 2와 같은 제어 파라미터를 설정하여 동작하고 있다[8],
[9],
[10].
표 2. 국내 주파수조정용 BESS의 제어전략
Table 2. Control strategy of BESS for frequency regulation in Korean power system
|
Control Mode
|
Control Activation
|
Control Parameter
|
|
Frequency DeadBand
|
RoCoF
|
|
Steady State
|
$|\Delta f| > 0.036 Hz$
|
$\left| \frac{df}{dt} \right| < 0.0279 Hz/sec$
|
Speed Droop =2%
|
|
Transient State
|
$\left| \frac{df}{dt} \right| > 0.0279 Hz/sec$
|
Frequency bias =787MW/0.1Hz
|
이에 따라 본 논문에서는 BESS의 제어 알고리즘과 제어 파라미터에 대해 한전에서 상용 운전 중인 주파수조정용 BESS의 값을 준용하였다.
표 3. 전력계통의 대표 운영 조건 정의
Table 3. Definition of Operating Conditions for the Power System
|
Index (j)
|
Operating Condition (Year-Season-Time)
|
Renewable Energy Penetration [%]
|
System Inertia Energy [GW·s]
|
|
1
|
2030-Spring-Daytime
|
38.5
|
280.3
|
|
2
|
2030-Summer-Daytime
|
26.9
|
376.2
|
|
3
|
2030-Autumn-Daytime
|
30.1
|
317.9
|
|
4
|
2030-Winter-Daytime
|
30.8
|
351.8
|
대표 운영 조건은 BESS의 제어 성능을 가장 보수적으로 평가하기 위해 재생에너지의 이용률이 가장 높은 계절별 주간 운영 조건들로 선정하였다. 선정한
운영 조건들은 인덱스 $j = [1, 2, 3, 4]$로 정의하였고 각 인덱스 $j$에 대응되는 재생에너지 수용률과 계통 관성 에너지는 다음 표 3와 같이 구성되어 있다.
위 표 3에서 정의한 대표 운영 조건은 계절별 계통 운전 특성이 주파수 제어 성능에 미치는 영향을 반영하기 위해 선정하였다. 이러한 운영 조건은 동일한 N-1
상정고장 상황에서도 서로 다른 주파수 응답을 유발하므로, 이후 절에서 수행될 BESS 최적 위치 및 용량 산정 과정에서 반드시 고려되어야 한다. 이때
그림 5는 선정된 운영 조건에 따른 주파수 응답을 나타내며 복수의 운영 조건을 기반으로 BESS의 위치별 주파수 제어 성능을 평가해야 할 필요성을 보여준다.
그림 5. 전력계통의 운영조건별 응답 주파수
Fig 5. System frequency responses under different operating conditions
운전 조건이 달라짐에 따라 전력계통의 주파수 제어 성능이 위 그림과 같이 다르게 나타난다. 본 논문에서는 이러한 주파수 동적 특성을 반영하기 위해
다양한 계통의 운전 조건을 고려한 FCEI 기반 BESS 최적 위치 선정 및 필요 용량 산정 절차가 필요하다.
이에 따라 다음 절에서는 대표 운영 조건을 적용한 국내 계통을 대상으로 앞서 제안한 방법론에 기반하여 BESS의 최적 위치와 필요 용량을 도출하고,
그 타당성을 통해 검증하고자 한다.
4.2 주파수 조정용 BESS의 최적 위치 선정 및 용량 산정
본 절에서는 3장에서 제안한 FCEI 기반 BESS의 최적 위치 및 필요 용량 도출 방법을 4.1절에서 정의한 대표 운영 조건에 적용하여 주파수 조정용
BESS의 최적 설치 위치와 설치 용량을 산정한다. 제안된 방법은 각 운영 조건에서 계산된 FCEI를 통합적으로 활용함으로써, 단일 조건 또는 단일
위치에 기반한 기존 접근과 달리 모든 운영 조건을 동시에 만족하는 복수의 최적 위치를 반복적으로 도출할 수 있다는 특징을 갖는다. 또한 반복(iteration)마다
단위용량의 BESS를 순차적으로 설치하며 SYS_FCEI를 재산정하여, 설치 용량 증가에 따른 계통 주파수 동특성 변화를 단계적으로 반영한다.
이러한 절차를 적용하기에 앞서, 먼저 각 후보 위치에 단위용량의 BESS를 설치하였을 때 발생하는 계통주파수 응답을 비교하고자 한다. 이때 2030년도
봄철 주간 계통 운전 조건을 적용 시 후보 위치별 단위 용량인 10MW의 BESS를 설치했을 때 최대단위 발전기 1기 탈락 시 응답 주파수가 다음
그림 6과 같이 도출되었다.
그림 6. 2030년도 봄철 주간 계통 운전 조건 적용 시 후보 위치별 BESS 설치에 따른 주파수응답
Fig 6. Frequency response for BESS installation at candidate locations under the 2030
spring daytime operating conditions
위 그림과 같이 후보 위치별 BESS 설치 시 주파수 응답 성능이 각자 다르게 도출된다. 이는 위치별 BESS의 주파수 제어 성능 기여도에 차이가
존재함을 의미하며, 이러한 위치별 기여도를 정량적으로 비교하기 위한 평가 지표가 필요함을 나타낸다. 이에 따라 대표 운영 조건별로 각 후보 위치에서
산정된 FCEI는 그림 7과 같이 도출되었다.
그림 7. 대표 운영 조건에 따른 BESS 위치별 FCEI
Fig 7. FCEI values for BESS installation locations under representative operating
conditions
이에 따라 동일한 후보 위치라도 운영 조건에 따라 FCEI가 다르게 도출되며 FCEI 기반 BESS 후보 위치의 우열관계가 달라짐을 확인할 수 있다.
이는 하나의 운영 조건을 기준으로 설치 위치를 선정할 경우 이를 제외한 다른 운영 조건에서는 동일한 수준의 주파수 제어 성능을 확보하지 못할 수 있음을
의미한다. 즉, 그림 7의 신화순에 BESS를 설치 시 운영 조건별 FCEI와 같이 하나의 운영 조건에서 가장 우수한 위치로 평가된 위치가 다른 조건에서는 상대적으로 취약한
위치가 될 수 있음을 의미한다.
이와 같은 운영 조건 간 FCEI 차이는 BESS의 최적 설치 위치를 선정함에 있어 대표 운영 조건들을 통합하는 지표가 필요함을 나타낸다. 따라서
본 논문에서 제안한 SYS_FCEI는 이러한 운영 조건별 성능 차이를 반영하여 위치별 상대적 우수성을 보다 안정적으로 판단할 수 있는 지표로 기능하며,
그림 8의 결과는 SYS_FCEI 적용의 타당성을 뒷받침한다.
그림 8. BESS 설치 위치에 따른 반복 단계별 SYS_FCEI
Fig 8. SYS_FCEI by BESS placement for each iteration
그림 8에서 볼 수 있듯이 단위용량의 BESS를 반복적으로 설치할 때마다 SYS_FCEI가 다시 계산되며 최적 위치가 달라진다. 이는 BESS 설치가 계통의
관성과 출력 흐름을 변화시키기 때문에 초기 반복에서 선정된 위치가 이후 반복 단계에서도 동일하게 유지되지 않음을 의미한다. 실제로 첫 번째 반복에서는
신김제가 최적 위치로 도출되었으나, 두 번째 반복에서는 신남원이 새로운 최적 위치로 선정되는 것을 확인할 수 있다.
이와 같은 변화는 설치된 BESS 용량이 증가할수록 전력계통의 주파수 제어 성능도 함께 변동하여 반복 단계마다 최적 위치를 재선정하는 절차가 필요함을
보여준다. 이에 따라 앞서 제안한 순서도를 기반으로 반복 단계별 SYS_FCEI 기준 가장 우수한 위치를 선정하여 BESS를 분산하여 배치하였다.
이때 단위용량의 BESS를 가장 가혹한 운영 조건에서 N-1 상정고장 시 최소과도주파수가 주파수 유지기준을 만족할 때까지 순서도에 따라 반복적으로
설치할 경우, 반복 단계별 최소과도주파수는 다음 그림 9와 같이 나타난다.
그림 9. 제안된 방법 기반 최적 위치 설치 시 각 반복 단계별 BESS 전체 용량 및 최소과도주파수
Fig 9. Total BESS capacity and minimum transient frequency at each iteration of the
proposed method-based optimal location installation
그림 9는 제안된 방법에 따라 단위용량의 BESS를 반복적으로 추가 설치할 때, 각 반복 단계별 BESS 총 설치용량과 그에 대응하는 최소과도주파수의 변화를
나타낸 것이다. 그림과 같이 반복 회차가 증가함에 따라 총 BESS 설치용량은 계단식으로 증가하며, 이에 따라 계통의 최소과도주파수 역시 점진적으로
개선되어 주파수 유지기준인 59.7 Hz에 도달하게 된다. 이는 통해 제안된 방법이 운영 조건 중 가장 가혹한 조건에서도 신뢰도 기준을 만족하기 위한
BESS의 최적 용량을 확인할 수 있다.
위 과정에 따라 도출한 BESS의 최적 위치 및 필요 용량에 따라 분산 배치했을 때 전력계통의 주파수 안정도 확보에 충분한지 확인하기 위해, 다음
그림 10과 같이 도출된 BESS의 최적 분산 배치 조건(신김제 10 MW + 신남원 220 MW)을 적용 시 국내 전력계통의 운영 조건별 응답 주파수와 BESS
출력을 통해 제안 방법의 타당성을 검증하였다.
그림 10. 국내 전력계통의 운영 조건별 계통주파수 및 BESS 출력
Fig 10. System frequency and BESS output under various operating conditions of the
Korean power system
그림 10은 제안된 순서도에 따라 선정한 두 개의 최적 위치인 신김제와 신남원에 BESS를 10MW와 220MW를 분산 배치 시 계통 운전 조건별 N−1 상정고장
시 주파수응답을 나타낸다. 위 그림과 같이 선정한 최적 위치별 BESS가 앞서 산정된 최적 용량만큼 출력을 제공하였으며 이에 따른 모든 운영조건에서
최소과도주파수가 N−1 상정고장 시 주파수 유지 기준인 59.7Hz를 만족하는 것을 확인할 수 있다. 따라서 2030년도 계절별 가장 가혹한 운영조건에
따른 응답 주파수가 신뢰도 기준을 만족하는 것을 보아 앞서 도출한 BESS의 최적 위치와 필요 용량을 적용 시 국내 전력계통의 2030년도 모든 운영조건에
대해 주파수 안정도를 확보할 수 있음을 알 수 있다.
한편, 본 사례연구에서는 논문에서 제안한 방법론의 유효성을 검증하기 위해 기존 지표인 Nadir 또는 RoCoF를 기준으로 산정된 주파수 조정용 BESS의
설치요구량[11]을 도출하여 그림 10에서 산정된 결과와 비교하였다. 이를 위해 봄철 주간의 국내 전력계통 운전 조건을 대상으로 최대 단위 발전기 1기 탈락 시 Nadir 또는 RoCoF가
가장 낮게 형성되는 모선을 대상으로 BESS 설치 요구량을 산정하였으며 그 결과를 요약하면 다음 표 4와 같다.
표 4. 검증 사례연구 결과
Table 4. Verification Case Study Results
|
Case (Method)
|
BESS Placement
|
BESS Capacity [MW]
|
Frequency Nadir [Hz]
|
$RoCoF^*$ [Hz/s]
|
|
BaseCase
|
-
|
-
|
59.628
|
0.141
|
|
#1(FCEI)
|
SinGimje, SinNamwon
|
10, 220
|
59.703
|
0.132
|
|
#2(Nadir)
|
Ulju
|
240
|
59.702
|
0.135
|
|
#3(RoCoF)
|
Ulsan
|
240
|
59.703
|
0.134
|
즉, Nadir 기준(CASE#2)에서는 울주 모선에 240MW, RoCoF 기준(CASE#3)에서는 울산 모선에 240MW의 BESS가 설치되어야
주파수제어 성능기준을 만족할 수 있는 곳으로 도출되어 본 논문에서 제안한 FCEI 기반 방법론을 통해 산정한 BESS의 위치 및 필요 용량(CASE#1)보다
비효율적인 것으로 나타난다. 따라서 본 논문에서 제안된 FCEI 기반 방법론이 BESS 설치 위치를 성능 평가 지표를 통해 선정하고 필요 용량의 분산
배치까지 고려함으로써 효율적인 적용 방안이 도출할 수 있음을 확인하였다.
5. 결 론
본 논문에서는 기존의 Nadir 또는 RoCoF와 같은 단일 시점 지표 기반 평가 방식의 한계를 극복하기 위해, 주파수 왜곡의 전 구간을 면적 기반으로
정량화한 주파수제어 성능 지표를 제시하고 이를 다양한 계통 운전 조건에 대해 통합함으로써 시스템 수준의 성능 지표로 확장하였다. 이러한 통합 지표를
활용하여 BESS 설치 후보 위치별 주파수 제어 성능 기여도를 비교·평가하고, 계통의 운전 조건 변화에 따른 종합적 성능을 반영하여 최적의 BESS
설치 위치와 필요 용량을 도출하는 방법론을 제안하였다. 특히 용량 증분 단계마다 최적 설치 위치를 재선정하는 절차를 도입함으로써, 기존 연구에서 고려되지
않았던 BESS의 분산 배치 가능성까지 반영할 수 있다는 점에서 차별적인 의의를 가진다.
제안된 방법은 국내 전력계통의 계통계획 DB를 이용한 사례 연구를 통해 그 유효성이 검증되었으며, 본 논문에서는 이러한 방법론의 도출 과정, 정량적
지표의 계산 절차, 다양한 운전 조건 통합 과정, 그리고 실제 계통에 적용한 검증 결과를 상세히 제시하였다.
Acknowledgements
This work was supported by the Korea Institute of Energy Technology Evaluation and
Planning (KETEP) grant funded by the Korea government (MOTIE) (RS-2025-02317257, High-Reliability
Verification and Safety Technology Development for Next Generation BESS in Extreme
Environments).
References
2015, Paris agreement

2024, World Energy Outlook 2024

2025, 11th Basic Plan for Power Supply and Demand

2023, Power system reliability and electricity quality maintenance standards

Dwi Riana Aryani, Hwachang Song, Yoon-Sung Cho, 2022, Operation strategy of battery
energy storage systems for stability improvement of the Korean power system, J. Energy
Storage, Vol. 56, pp. 106091

Hassan Alsharif, Mahdi Jalili, Kazi N.Hasan, 2022, Power system frequency stability
using optimal sizing and placement of Battery Energy Storage System under uncertainty,
J. Energy Storage, Vol. 50

U. Akram, N. Mithulananthan, R. Shah, S. Alzahrani, 2023, Design of Energy Storage
for Frequency Stability in Low-Inertia Power Grid, IEEE Systems Journal, Vol. 17,
No. 3, pp. 4763-4774

Garam Yu, N. Tea-Kyun, C. Sang-Min, K. Jong-Hyuk, K. Jong-An, K. Yu-Won, 2022, A Study
on Operation Strategy Improvement and Standards Revision of FR-ESS, pp. 123-124

H. Jun Bum, Y. Garam Yu, Kyung Soo Kook, Byung Hoon Chang, 2013, A Study on the Criteria
for Setting the Dynamic Control Mode of Battery Energy Storage System in Power Systems,
Transactions of the Korean Institute of Electrical Engineers, Vol. 62, No. 4, pp.
444-450

Y. H. Song, J. Y. Yang, Y. Y. Lee, K. S. Kook, 2022, Quantification Method of the
PFR Substitution Effect by BESS for Frequency Regulation considering the Increased
Penetration of Renewable Energy Sources, The transactions of The Korean Institute
of Electrical Engineers, Vol. 71, No. 12, pp. 1723-1730

M. Ramíez, R. Castellanos, G. Calderón, O. Malik, 2018, Placement and sizing of battery
energy storage for primary frequency control in an isolated section of the mexican
power system, Electric Power Syst. Res., Vol. 160, pp. 142-150

저자소개
He received his B.S. and M.S. degrees in Electrical Engineering from Jeonbuk National
University, Jeonju, Republic of Korea, in 2023 and 2026. His research interests include
Power System Analysis, Frequency control, Renewable Energy Source, and Battery Energy
Storage System. His e-mail address is lts0325@jbnu.ac.kr
He received his B.S. and M.S. degrees in Electrical Engineering from Jeonbuk National
University, Jeonju, Republic of Korea, in 2021. He is currently a Ph.D. student in
department of electrical engineering at JeonBuk National University, Jeon-ju, Republic
of Korea. His research interests include Power System Analysis, Frequency control,
Renewable Energy Source, and Battery Energy Storage System. His e-mail address is
syh4671@jbnu.ac.kr
She received the B.S. and M.S. degrees in electrical engineering from Jeonbuk National
University, Korea, in 2024 and 2026, respectively. She is currently a researcher of
KEPCO Research Institute. Her research interests include V2G services, frequency control,
and inertia energy in power systems. Her e-mail address is eejw66@jbnu.ac.kr
He received his B.S and M.S. degrees in Electrical Engineering from Korea University,
Seoul, Republic of Korea, in 1996 and 1998, respectively. He obtained a Ph.D. degree
in the same field from the Virginia Polytechnic Institute and State University (Virginia
Tech.), USA, in 2007. From 1998 to 2004 he was with Korea Electrotechnology Research
Institute as a senior researcher. From 2007 to 2010, he was with Electric Power Research
Institute in USA as a senior project engineer. In May 2010, he joined Jeonbuk National
University as a faculty member in the department of electrical engineering. His research
interests include Power System Operations and Controls, Renewable Energy Sources,
Smart Grid, and Energy Storage Systems. His e-mail address is kskook@jbnu.ac.kr