• 대한전기학회
Mobile QR Code QR CODE : The Transactions of the Korean Institute of Electrical Engineers
  • COPE
  • kcse
  • 한국과학기술단체총연합회
  • 한국학술지인용색인
  • Scopus
  • crossref
  • orcid

  1. (Dept. of Ocean Systems Engineering, Sejong University, Republic of Korea)



Barrier Function, Lyapunov, Adaptive Sliding Mode Control, Unmanned Surface Vehicle, Path-following

1. 서 론

무인 수상정(unmanned surface vehicle, USV)은 승무원 없이 수면에서 운용되는 선박으로, 감시ㆍ정찰, 기뢰 탐지ㆍ제거, 원격 타격 등 다양한 임무에 활용된다. 무인 수상정의 임무 수행을 위해 가장 기초적인 필요 역량은 지정된 경로를 안정적으로 추종하는 능력이다. 그러나 무인 수상정에 작용하는 비선형 유체력, 모델링 오류, 모델링 되지 않은 동역학, 바람ㆍ파랑 등 환경 외란과 같은 불확실성이 시스템 성능에 영향을 준다. 또한, 일부 무인 수상정은 과소작동(underactuated) 즉, 자유도보다 적은 수의 구동기를 가진다. 이로 인해 무인 수상정의 정밀한 경로 추종 달성에 있어 제어기는 중요한 역할을 한다. 경로 추종을 위한 선박의 속도 및 자세 제어를 위해 다양한 제어 기법을 활용한다[1- 11]. [1- 2]에서는 무인 잠수정(autonomous underwater vehicle, AUV) 경로 추종 문제를 선형 행렬 부등식(linear matrix inequality, LMI)기반의 리아프노브 안정성 기준에 따라 무인 잠수정의 오차 동역학이 지역적 지수 안정화를 달성했다. [1]은 무인 잠수정 동역학의 비선형성을 부채꼴 비선형(section nonlinearity) 기법을 활용한 다면체 선형 파라미터 가변(linear parameter varing, LPV)모델을 이용하여 선형 행렬 부등식(linear matrix inequality, LMI)조건을 도출하였고 [2]는 피드백 선형화와 LPV/퍼지 모델 기반 제어를 이용해 제어 입력을 분해하여 LMI 프레임 워크에서 지역적 지수 안정성을 보였다. [4- 6]는 무인 수상정에 작용하는 외란을 보상하기 위해 관측기와 예측기가 사용된다. [4]은 복잡한 미지항을 보상하기 위해 유한시간 상태 추정 관측기와 비특이 빠른 터미널 슬라이딩 모드 제어를 결합하여 빠른 수렴과 정확한 추종을 달성하였고, [5]은 고정시간 외란 예측기 및 선수 각 제어기를 설계하여 고정된 시간 내에 예측 오차 수렴과 선수 각 추종이 가능함을 보였다. 또한, 강인 제어 기법을 활용하면 무인 수상정의 운동에 외란이 존재하더라도 경로 추종을 달성할 수 있다. 이를 위한 강인 제어 기법으로 적응형 슬라이딩 모드 제어(Adaptive Sliding Mode control, ASMC)가 주로 연구되었다[7- 11]. ASMC는 외란이 유계라는 가정이 필요하지만, 외란의 상한이 알려지지 않았더라도 적응 제어 이득과 슬라이딩 모드 제어를 통해 강인한 제어가 가능하다. 특히, [7- 9]에서는 강인한 전진 속도, 요 각속도 슬라이딩 모드 제어기를 설계하고 동적 적응형 이득을 통해 이득의 과대 추정을 방지하여 채터링을 줄이고 터미널 항을 추가해 속도 오차가 0 근처에서 빠르게 수렴한다. 하지만 외란 상한에 따라 수렴 영역의 크기와 수렴 시간이 의존하기 때문에 수렴 시간이 알려지지 않으며 외란이 급격하게 변화할 때 슬라이딩 면 안정이 깨질 우려가 있다.

이러한 ASMC의 문제를 보완하기 위해 [12- 13]는 적응 전략으로 양의 준정부로 장벽 함수를 사용하여 슬라이딩 변수가 미리 정해진 0의 근방으로 수렴할 수 있다. 또한, 이 과정에서 제어 이득은 과대 추정되지 않으며 외란의 상한에 대한 정보도 사용하지 않는다. 본 논문은 [12]에서 영감을 얻어 무인 수상정의 전진 속도, 요 각속도 제어를 장벽 함수 기반 적응형 슬라이딩 모드 제어를 통해 모델링 오차, 환경 외란 등의 불확실한 환경 아래에서도 강인성을 잃지 않고 경로 추종이 가능하게 설계한다. USV 경로 추종 문제에 적용하기 위해, USV 동역학과 속도 오차를 정의하여 1차 슬라이딩 형태로 표현될 수 있도록 수식 전계를 수행하였다. 슬라이딩 변수는 실시간 선박 속도와 목표 속도의 오차로 정의하고 이득을 장벽 함수 기반 적응 알고리즘을 이용하여 불확실한 해양 환경 아래에서 외란 상한에 대한 정보 없이 구동기가 강인성을 유지할 수 있다.

2. 문제 정의

2.1 유도 알고리즘

본 논문에서 사용된 유도 알고리즘은 [14]을 참고해 시선 유도 항법(Line-of-Sight, LOS)과 경로를 매개변수화 하여 이용한다. LOS에서 제공하는 목표 선수 각은 다음과 같이 계산한다:

$ \psi_d = \gamma_p + \arctan\left(-\frac{y_e}{\Delta_h}\right) $

여기서 $\gamma_p$는 경로-접선 기울기 각이고 $\Delta_h > 0$는 앞보기 거리다. 경로를 매개변수화하여 $(x_p(\theta), y_p(\theta))$로 나타내며 $\theta \ge 0$는 경로 변수를 나타낸다. 이때 $\gamma_p$와 $\dot{\theta}$는 다음과 같이 계산된다:

$ \gamma_p(\theta) = \text{atan2}(\dot{y}_p, \dot{x}_p) $
$ \dot{\theta} = \frac{U}{\sqrt{\dot{x}_p(\theta)^2 + \dot{y}_p(\theta)^2}} $

$U = \sqrt{u^2 + v^2}$는 수평면에서 선박의 속도 크기이며 $y_e$는 횡 방향 경로 오차로 다음과 같다[14]:

$ y_e = -(x - x_p(\theta))\sin(\gamma_p(\theta)) + (y - y_p(\theta))\cos(\gamma_p(\theta)) $

2.2 수상정의 운동학 및 동역학 모델

수상정의 운동은 그림 1에 나타나 있으며, 다음의 운동학적 관계를 통해 수상정의 속도 벡터로 표현된다.

$ \dot{\eta} = J(\eta)\nu $

여기서 $\eta = [x, y, \psi]^T \in \mathbb{R}^3$는 지구 고정 좌표계 기준 수상정의 위치 및 자세 벡터를 나타내며, $\nu = [u, v, r]^T \in \mathbb{R}^3$는 수상정 고정 좌표계 기준 선박의 전진 속도($u$), 횡 속도($v$), 요 각속도($r$) 벡터이다. 여기서 $J(\eta)$는 회전 행렬로 다음과 같다:

$ J(\eta) = \begin{bmatrix} \cos\psi & -\sin\psi & 0 \\ \sin\psi & \cos\psi & 0 \\ 0 & 0 & 1 \end{bmatrix} $

또한, 3-자유도 수상정의 속도 벡터는 다음의 동역학 관계를 통해 나타낸다.

(1)
$ M\dot{\nu} + C(\nu)\nu + D(\nu)\nu = \tau + \tau_d $

그림 1. 무인 수상정의 운동학 및 동역학

Fig. 1. Kinematics and Dynamics of an USV

../../Resources/kiee/KIEE.2026.75.3.615/fig1.png

본 논문은 필요 자유도 보다 구동기 수가 적은 제어기를 사용하여 수상정의 제어 입력은 $\tau = [\tau_u, 0, \tau_r]^T$ 이며 $\tau_u$는 전진 방향 추력, $\tau_r$은 요(Yaw) 토크이다. $\tau_d = [\tau_{du}, \tau_{dv}, \tau_{dr}]^T$는 해양 환경에 의해 수상정에 작용하는 외란이다. 식 (1)에서 $M$, $C(\nu)$, $D(\nu)$는 각각 수상정에 작용하는 질량 및 관성 행렬, 코리올리 및 원심력 행렬, 감쇠 행렬을 나타내며 자세한 구조는 다음과 같다:

$ M = \begin{bmatrix} m_{11} & 0 & 0 \\ 0 & m_{22} & m_{23} \\ 0 & m_{32} & m_{33} \end{bmatrix}, $
$ C(\nu) = \begin{bmatrix} 0 & 0 & -m_{22}v - m_{23}r \\ 0 & 0 & m_{11}u \\ m_{22}v + m_{23}r & -m_{11}u & 0 \end{bmatrix} $
$ D(\nu) = \begin{bmatrix} d_{11} & 0 & 0 \\ 0 & d_{22} & d_{23} \\ 0 & d_{32} & d_{33} \end{bmatrix} $

이때

$ m_{11} = m - X_{\dot{u}}, \quad m_{22} = m - Y_{\dot{v}}, $
$ m_{23} = mx_g - Y_{\dot{r}}, \quad m_{33} = I_z - N_{\dot{r}}, $
$ d_{11}(u) = -(X_u + X_{|u|u}|u|), $
$ d_{22}(v, r) = -(Y_v + Y_{|v|v}|v| + Y_{|r|v}|r|), $
$ d_{23}(v, r) = -(Y_r + Y_{|v|r}|v| + Y_{|r|r}|r|), $
$ d_{32}(v, r) = -(N_v + N_{|v|v}|v| + N_{|r|v}|r|), $
$ d_{33}(v, r) = -(N_r + N_{|v|r}|v| + N_{|r|r}|r|) $

이다.

선박의 실제 속도와 목표 속도의 오차를 다음과 같이 정의한다.

$ e_u = u - u_d, \quad e_v = v - v_d, \quad e_r = r - r_d $

이때 $u_d$는 목표 선속도, $r_d(= \dot{\psi}_d)$는 유도 알고리즘이 제공하는 목표 각속도이다.

가정 1 무인 수상정의 횡 속도와 목표 횡 속도의 오차 $e_v$는 유계되어 있다.

보조정리 1 $v_d$는 가상 제어 입력으로 다음과 같다:

$ v_d = -\frac{1}{\cos(\psi - \gamma_p(\theta))}(u\sin(\psi - \gamma_p(\theta)) + k_y y_e) $

$k_y$는 양의 상수이고 $v_d$는 횡 방향 경로 오차 동역학을 지수 안정을 만족시켜 횡 방향 경로 오차가 0으로 수렴한다.

증명 가정 1이 만족하고 리아프노브 함수를 다음과 같이 정의하자.

$ V_1 = \frac{1}{2}y_e^2 $

시간 미분 $\dot{V}$은 다음과 같다:

$ \dot{V}_1 = y_e\dot{y}_e $

횡방향 경로 오차 동역학 $\dot{y}_e$는 다음과 같이 표현된다.

$ \dot{y}_e = u\sin(\psi - \gamma_p(\theta)) + v\cos(\psi - \gamma_p(\theta)) $

따라서

(2)
$ \dot{V}_1 = y_e(u\sin(\psi - \gamma_p(\theta)) + v_d\cos(\psi - \gamma_p(\theta))) $

이다. 설계된 $v_d$를 식 (2)에 대입하여 정리하면

$ \dot{V}_1 = -k_y y_e^2 = -k_y V_1 $

이다. 따라서 횡방향 경로 오차는 지수적 안정으로 $t \to \infty$에 따라 $y_e \to 0$이다.

2.2 기초 이론

다음과 같은 1차 슬라이딩 시스템을 고려하자.

(3)
$ \dot{s}(t) = \theta(t) + \delta(t) $

$s(t) \in \mathbb{R}$는 슬라이딩 변수, $\theta(t)$는 슬라이딩 입력, $\delta(t)$는 외란이다.

가정 2([12]) 외란 $\delta(t)$은 유계이지만 상한에 대한 정보는 주어지지 않는다. 즉 $|\delta(t)| \le \delta_{\max}$, $\delta_{\max} > 0$는 존재하지만 상한을 알지 못한다.

보조정리 2([12]) 슬라이딩 시스템 (3)의 입력과 이득을 다음과 같이 설계한다:

(4)
$ \theta(t) = -K(t, s(t))\text{sign}(s(t)) $
(5)
$ K(t, s(t)) = \begin{cases} K_a, \dot{K}_a = \frac{\bar{K}|s(t)|}{|s|} & \text{if } 0 < t \le \bar{t} \\ \frac{|s|}{\epsilon - |s|} & \text{if } t > \bar{t} \end{cases} $

가정 1을 만족하고 사전 설정된 장벽 $\epsilon > 0$이 주어졌을 때 2개의 다른 이득을 통해 슬라이딩 변수를 장벽 안으로 수렴시키고 유지한다. 장벽 밖에 슬라이딩 변수가 존재하면 상수 고정 미분 이득을 통해 슬라이딩 변수가 0 근처 $\frac{\epsilon}{2}$에 도달하고 이때의 시각은 $\bar{t}$이다. 이후 제어 이득은 준정부호 장벽 함수로 전환되고 장벽 함수는 구간 $s \in [-\epsilon, \epsilon]$에서 연속적인 값을 가지며 $[0, \epsilon)$ 구간에서 증가하며 $K \in [0, \infty)$를 만족한다.

2.3 문제 정의

2.1, 2.2에서 언급한 무인 수상정의 동역학 모델과 장벽 함수 기반 슬라이딩 모드를 이용하여 다음의 문제를 해결하고자 한다.

가정 3 제어기 설계에 앞서 본 논문에서 고려한 무인 수상정은 다음 가정을 만족한다.

ⅰ) 선박은 강체이며, 질량 분포는 균일하고, 좌 우현 대칭이다.

ⅱ) 선체 고정 좌표계의 원점은 선박의 무게중심에 위치한다.

ⅲ) 상하운동, 종동요, 횡동요, 운동 각은 수평면에서 무시된다.

문제 1 가정 1–3을 기반으로, 무인수상정은 고정된 전진 속도와 유도 알고리즘으로부터 제공되는 목표 선수각을 갖는다. 이때 실제 전진 속도와 목표 전진 속도 사이의 오차, 실제 요각속도와 목표 요각속도 사이의 오차가 주어진 제어 입력을 통해 0 근방의 장벽으로 수렴하도록 제어기를 설계하여 경로 추종을 달성한다.

3. 주요 결과

3.1 제어기 설계

앞서 정의한 속도 오차 변수 $e_u$, $e_v$, $e_r$을 이용하여 다음과 같이 슬라이딩 변수 $s_1$, $s_2$ 정의한다:

(6)
$ \begin{cases} s_1 = e_u + \lambda_u \int e_u dt \\ s_2 = e_r + \lambda_r \int e_r dt + \lambda_v \int e_v dt \end{cases} $

여기서 $\lambda_u$, $\lambda_v$, $\lambda_r$은 양의 상수이다. 식 (6)의 미분으로

$ \begin{cases} \dot{s}_1 = \dot{e}_u + \lambda_u e_u \\ \dot{s}_2 = \dot{e}_r + \lambda_r e_r + \lambda_v e_v \end{cases} $

을 얻고, 수상정의 동역학 식 (1)를 이용하면

$ \begin{cases} \dot{s}_1 = f_1(\nu) + \frac{1}{m_{11}}(\tau_u + \tau_{du}) \\ \dot{s}_2 = f_2(\nu) + \frac{m_{22}}{\Delta}(\tau_r + \tau_{dvr}) \end{cases} $

이고, $\Delta = (m_{22}m_{33} - m_{23}m_{32})$, $\tau_{dvr} = \frac{m_{32}}{m_{22}}\tau_{dv} + \tau_{dr}$ 이다. $f_1(\nu, t)$, $f_2(\nu, t)$는 입력과 외란을 제외한 모델 기반 비선형항, $\lambda_u e_u$, $\lambda_v e_v$, $\lambda_r e_r$, $\dot{u}_d$, $\dot{r}_d$를 묶은 비 입력항으로 다음과 같이 정리된다.

$ \begin{cases} f_1(\nu, t) = \lambda_u e_u - \frac{1}{m_{11}}(c_{13}r + d_{11}u) \\ f_2(\nu, t) = \lambda_v e_v + \lambda_r e_r + \frac{m_{23}}{\Delta}(c_{23}r + d_{22}u + d_{23}r) + \frac{m_{22}}{\Delta}(c_{31}u + c_{32}v - d_{32}v - d_{33}r - \dot{r}_d) \end{cases} $

정리 1 무인 수상정의 속도와 목표 속도의 오차로 이루어진 슬라이딩 동역학 식 (1)을 식 (3)과 같은 1차 슬라이딩 시스템의 형태로 만들기 위해 $\tau_u$, $\tau_r$을 통해 비 입력항($f_1(\nu, t)$, $f_2(\nu, t)$)을 제거하고 식 (4), (5)의 입력과 이득을 이용하면 $\tau_u$, $\tau_r$은 다음과 같이 설계된다:

$ \begin{cases} \tau_u = m_{11}(\theta_1 - f_1) \\ \tau_r = m_{11}(\theta_2 - f_2) \end{cases} $

이때 $\theta_1$, $\theta_2$ 그리고 이득은 다음과 같다:

$ \theta_i(t) = -K_i(t, s_i(t))\text{sign}(s_i(t)), \quad i = 1, 2 $
$ K_i(t, s(t)) = \begin{cases} K_{a,i}, \dot{K}_{a,i} = \frac{\bar{K}|s_i(t)|}{|s_i|} & \text{if } 0 < t \le \bar{t} \\ \frac{|s_i|}{\epsilon_i - |s_i|} & \text{if } t > \bar{t} \end{cases} $

이로써 슬라이딩 변수는 초기값에 관계없이 속도 오차를 사전 설정된 장벽 $\epsilon$ 내부로 수렴시키고 유지하기 위해 이득 $K_i(t, s(t))$는 외란 상한을 상쇄하도록 $K_i(t, s(t)) > \tau_{u,\max}$을 만족하도록 설계된다. 이에 따라 전진 속도 오차 및 요 각속도 오차가 0 근처 장벽으로 내부로 수렴하게 되고 유도 알고리즘에 의해 횡 방향 경로 오차가 0으로 수렴하여 무인 수상정의 경로 추종을 달성하게 된다.

정의 1 $s_1$의 궁극 오차 상한 $s_B$은 다음과 같이 정의한다:

$ s_B = \left(\frac{\tau_{u,\max}}{\tau_{u,\max} + 1}\right)\epsilon $

이때 $\tau_{u,\max}$는 외란 상한이고 $s_B$는 이득 $K_i(t, s(t))$가 보장하는 $s_1$의 최종 수렴 경계값이다.

증명 리아프노브 후보 함수를 다음과 같이 정의하자.

(7)
$ V_2 = \frac{1}{2}s_1^2 $

(7)의 시간 미분은

$ \dot{V}_2 = s_1(-K_1\text{sign}(s_1) + \tau_{du}) $

이를 통해

(8)
$ \dot{V}_2 \le -(K_1 - \tau_{u,\max})|s_1| $

을 얻는다. 식 (8)에서 $\dot{V}_2 < 0$을 보장하려면 $K_1 > \tau_{u,\max}$가 필요하다. 따라서 여유항 $\mu > 0$를 도입하여 $K_1 = \tau_{u,\max} + \mu$로 둔다. 따라서 식 (8)

$ \dot{V}_2 \le -\mu|s_1| = -\sqrt{2}\mu V_1^{\frac{1}{2}} $

로 정리된다. 이때 수렴 영역은

$ \bar{s}_B = \left(\frac{\tau_{u,\max}}{\tau_{u,\max} + 1 + \mu}\right)\epsilon < \epsilon $

이다. 따라서 $|s_1| > \bar{s}_B$인 영역에서 리아프노브 함수가 항상 감소하여 유한시간에 $|s_1| \le \bar{s}_B < \epsilon$로 들어가고 머문다. $s_B$까지 수렴 시간을 계산하기 위해 위 식을 분리하여 적분하면

$ \int_{V_\alpha}^{V_\beta} \frac{1}{\sqrt{V_2}} dV_2 \le -\sqrt{2}\mu \int_{\bar{t}}^{\bar{t} + \lambda_1} dt $

이다. 여기서 $V_\alpha$는 $\bar{t}$에서의 리아프노브 함수 값이고 $V_\beta$는 수렴 경계 $s_1 = s_B$에서의 리아프노브 함수 값이다. 따라서 유한 수렴 시간 $\lambda_1$은 다음과 같이 계산된다:

$ \lambda_1 \le \frac{\sqrt{2}}{\mu}(\sqrt{V_\alpha} - \sqrt{V_\beta}) $

즉 유한한 시간 $\lambda_1$ 이내에 $|s_1(t)| \le s_B$의 영역으로 수렴이 보장된다. 위와 같은 방법으로 가정 1을 고려하여 $s_2$의 유한시간 안정을 보장할 수 있다.

4. 모의실험

본 논문에서 설계된 제어기를 USV 경로 추종 문제에 적용하여 실제 제어기 성능을 평가한다. 모의실험에 쓰인 수상정의 파라미터는 표 2를 통해 주어진다. 2.1절에서 기술한 바와 같이 시선 유도 항법을 통해 목표 선수 각을 계산하고 일정한 목표 전진 속도를 가진다. 장벽 함수의 효용성을 평가하기 위해 일차 슬라이딩 시스템에서 상수 이득을 가진 제어기를 그리고 제안한 적응 알고리즘의 우수성을 평가하기 위해 장벽 함수 기반 적응 알고리즘을 사용했을 때 $s_1$, $s_2$, $K_1$, $K_2$, $\tau_u$, $\tau_r$의 시간 응답 그래프를 제공하며 기존 적응형 슬라이딩 모드 제어기를 이용하여 비교 실험을 진행한다. 비교를 위해 사용된 적응 알고리즘은 다음과 같다[16]:

$ \begin{cases} \dot{K}_i = -\mu_i e_i s_j \\ \dot{K}_i = \alpha_i(K_i - K_i^m) - \mu_i e_i s_j & \text{if } K_i < K_i^m \\ \dot{K}_i = \alpha_i(K_i - K_i^M) - \mu_i e_i s_j & \text{if } K_i > K_i^M \end{cases}, \quad i = 1, 2, j = u, r $

여기서 $\mu_i$, $\alpha_i$는 양의 상수이며 $K_i^m$, $K_i^M$은 각각 최소 이득, 최대 이득으로 이득 $K_i$는 오차 상태에 따라 경계 안에서 변화한다($K_i^m < K_i < K_i^M$).

4.1 경로 유형 1

경로 유형 1은 원으로 지속적인 선두 각 변화가 요구된다. 무인 수상정의 초기 위치 및 자세는 $\eta = [1, 1, 0]^T$이고 초기 속도는 $\nu = [0.1, 0.1, 0]^T$이다. 선박의 목표 선속도, 장벽, 경로 그리고 외부 외란은 다음과 같다:

$ u_{ref} = 0.8, \quad \epsilon_1 = 0.1, \quad \epsilon_2 = 0.1 $
$ x_p(\theta) = 6\cos(\theta), \quad y_p(\theta) = 6(1 - \cos(\theta)) $
$ d = \left[0.1\sin\left(0.2t + \frac{\pi}{4}\right), 0.2\sin\left(0.2t + \frac{\pi}{6}\right), 0.2\sin\left(0.15t + \frac{\pi}{4}\right)\right]^T $

기존 적응형 이득에 사용된 파라미터는 다음과 같다:

$ \gamma_1 = 1, \quad \gamma_2 = 1, \quad \alpha_1 = 1, \quad \alpha_2 = 1, $
$ K_1^m = 1, \quad K_1^M = 2, \quad K_2^m = 0.5, \quad K_2^M = 5 $

경로 유형 1의 실험 결과는 그림 1-8에서 확인할 수 있다. 그림 1-2는 선박의 경로 추종을 그래프를 통해 나타낸다. 그림 1은 상수 이득을 사용하였을 때 경로 추종을 나타낸다. 경로 추종은 달성한 모습이지만 과도한 이득으로 인해 입력과 슬라이딩 변수에 강한 채터링 현상이 일어난다. 그림 2는 본 논문에서 제시한 장벽 함수 기반 적응 알고리즘과 기존 적응 알고리즘을 이용하였을 때 선박의 경로 추종으로 두 기법 모두 경로를 잘 추종하는 모습을 보인다. 하지만 기존 적응형 알고리즘 또한 이득이 과대 추정되므로 채터링 또한 문제가 된다. 그림 3-4을 통해 본 논문에서 제시한 제어 기법을 이용했을 때 슬라이딩 변수의 시간 응답을 확인할 수 있고 슬라이딩 변수가 사전 설정된 장벽 내부로 수렴하고 유지되는 것을 확인할 수 있다. 그림 5-6은 장벽 함수 알고리즘을 이용했을 때 이득 $K_1$, $K_2$의 변화를 확인할 수 있다. 또한, 그림 7-8를 통해 제어 입력 $\tau_u$, $\tau_r$의 시간 응답을 확인할 수 있고 이를 통해 슬라이딩 모드 제어의 문제점인 채터링이 완화된 것을 확인할 수 있다.

그림 2. 경로 유형 1 – 상수 이득을 사용한 무인수상정 이동 경로(실선), 기준 경로(점선)

Fig. 2. Path Type 1 – USV Trajectory(solid line) using constant gain and Reference Path(dashed line)

../../Resources/kiee/KIEE.2026.75.3.615/fig2.png

그림 3. 경로 유형 1 – 장벽 함수 기반 적응형 기법을 이용한 무인수상정 이동 경로(파란색 실선), 기존 논문의 적응형 기법을 이용한 무인수상정 이동 경로(초록색 점선), 기준 경로(점선)

Fig. 3. Path Type 1 – USV trajectory (blue solid line) obtained using the barrier-function-based adaptive method, USV trajectory (green dotted line) obtained using the adaptive method from the previous paper, and the reference path (dashed line).

../../Resources/kiee/KIEE.2026.75.3.615/fig3.png

그림 4. 경로 유형 1 - $s_1$의 시간 응답(실선), 장벽(점선)

Fig. 4. Path Type 1 - Time Response of $s_1$(solid line) and Barrier(dashed line)

../../Resources/kiee/KIEE.2026.75.3.615/fig4.png

그림 5. 경로 유형 1 - $s_2$의 시간 응답(실선), 장벽(점선)

Fig. 5. Path Type 1 - Time Response of $s_2$(solid line) and Barrier(dashed line)

../../Resources/kiee/KIEE.2026.75.3.615/fig5.png

그림 6. 경로 유형 1 – $K_1$ 시간 응답

Fig. 6. Path Type 1 - Time Response of $K_1$

../../Resources/kiee/KIEE.2026.75.3.615/fig6.png

그림 7. 경로 유형 1 - $K_2$ 시간 응답

Fig. 7. Path Type 1 - Time Response of $K_2$

../../Resources/kiee/KIEE.2026.75.3.615/fig7.png

그림 8. 경로 유형 1 - $\tau_u$ 시간 응답

Fig. 8. Path Type 1 - Time Response of $\tau_u$

../../Resources/kiee/KIEE.2026.75.3.615/fig8.png

4.2 경로 유형 2

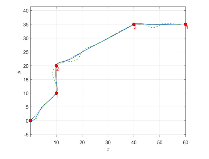
경로 유형 2는 선박의 시작점과 4개의 목표 지점을 차례대로 이어 경로를 생성하며 급격한 기울기 변화에 맞춰 선수 각이 변화해야 한다. 경로 유형 2에서 모의실험을 위해선 목표 지점이 바뀌게 될 때마다 제어 이득을 장벽 진입 이득으로 전환해야 한다. 그렇지 않다면 속도 오차가 급격하게 변화하여 적응 이득이 무한대 값을 가지는 경우가 생긴다. 4개의 목표 지점은 다음과 같다:

$ (x_1, y_1) = (10, 10), \quad (x_2, y_2) = (10, 20), \quad (x_3, y_3) = (40, 35) $
$ (x_4, y_4) = (60, 35) $

무인 수상정의 초기 위치 및 자세는 $\eta = [0, 0, 0]^T$이고 초기 속도는 $\nu = [0.1, 0.1, 0.1]^T$이다. 선박의 목표 선속도, 외부 외란은 다음과 같다:

$ u_{ref} = 1.5, \quad \epsilon_1 = 0.1, \quad \epsilon_2 = 0.1 $
$ d = \left[0.1\sin\left(0.2t + \frac{\pi}{4}\right), 0.2\sin\left(0.2t + \frac{\pi}{6}\right), 0.2\sin\left(0.15t + \frac{\pi}{4}\right)\right]^T $

기존 적응형 이득에 사용된 파라미터는 다음과 같다:

$ \gamma_1 = 1, \quad \gamma_2 = 1, \quad \alpha_1 = 1, \quad \alpha_2 = 1, $
$ K_1^m = 1, \quad K_1^M = 2, \quad K_2^m = 0.5, \quad K_2^M = 5 $

경로 유형 2의 실험 결과는 그림 9-16에서 확인할 수 있다. 그림 9는 상수 이득을 사용했을 때 무인수상정의 경로 추종을 나타낸다. 경로 추종은 달성한 모습을 보이지만 입력 채널에 채터링 문제가 관측되었다. 그림 10은 장벽 함수 이득 알고리즘과 기존 적응형 알고리즘을 이용한 무인수상정의 경로 추종 비교 실험이 진행된다. 두 이득 알고리즘 모두 경로 추종에 달성한 모습을 보이지만 기존 이득 알고리즘을 이용했을 때 입력 채널에 채터링 현상이 유의미하게 나타난다. 그림 11-12는 장벽 함수 기반 이득 알고리즘을 이용할 때 $s_1$, $s_2$의 시간 응답을 나타내는데 이때 그림 8에서 $s_2$가 장벽을 벗어난 뒤 다시 진입하는 것을 확인할 수 있다. 이는 목표 경로가 전환됨에 따라 제어 이득이 장벽 진입 이득으로 변화하여 재진입을 하는 과정이다. 재진입 후 다시 장벽 함수 이득으로 전환한다. 그림 13-14는 장벽 함수 이득 알고리즘을 사용할 때 이득 $K_1$, $K_2$의 시간 응답을 나타낸다. 그림 15-16을 통해 제어 입력 $\tau_u$, $\tau_r$의 시간 응답을 확인할 수 있고 채터링 문제가 완화된 것을 확인할 수 있다.

그림 9. 경로 유형 2 - $\tau_r$ 시간 응답

Fig. 9. Path Type 1 - Time Response of $\tau_r$

../../Resources/kiee/KIEE.2026.75.3.615/fig9.png

그림 10. 경로 유형 2 - 상수 이득을 사용한 무인수상정 이동 경로(실선), 기준 경로(점선)

Fig. 10. Path Type 1 – USV Trajectory(solid line) using constant gain and Reference Path(dashed line)

../../Resources/kiee/KIEE.2026.75.3.615/fig10.png

그림 11. 경로 유형 2 - 장벽 함수 기반 적응형 기법을 이용한 무인수상정 이동 경로(파란색 실선), 기존 논문의 적응형 기법을 이용한 무인수상정 이동 경로(초록색 점선), 기준 경로(점선)

Fig. 11. Path Type 2 – USV trajectory (blue solid line) obtained using the barrier function based adaptive method, USV trajectory (green dotted line) obtained using the adaptive method from the previo-us paper, and the reference path (dashed line).

../../Resources/kiee/KIEE.2026.75.3.615/fig11.png

그림 12. 경로 유형 2 - $s_1$의 시간 응답(실선), 장벽(점선)

Fig. 12. Path Type 2 - Time Response of $s_1$(solid line) and Barrier(dashed line)

../../Resources/kiee/KIEE.2026.75.3.615/fig12.png

그림 13. 경로 유형 2 - $s_2$의 시간 응답(실선), 장벽(점선)

Fig. 13. Path Type 2 - Time Response of $s_2$(solid line) and Barrier(dashed line)

../../Resources/kiee/KIEE.2026.75.3.615/fig13.png

그림 14. 경로 유형 2 - $K_1$ 시간 응답

Fig. 14. Path Type 2 - Time Response of $K_1$

../../Resources/kiee/KIEE.2026.75.3.615/fig14.png

그림 15. 경로 유형 2 - $K_2$ 시간 응답

Fig. 15. Path Type 2 - Time Response of $K_2$

../../Resources/kiee/KIEE.2026.75.3.615/fig15.png

그림 16. 경로 유형 2 - $\tau_u$ 시간 응답

Fig. 16. Path Type 2 - Time Response of $\tau_u$

../../Resources/kiee/KIEE.2026.75.3.615/fig16.png

그림 17. 경로 유형 2 - $\tau_r$ 시간 응답

Fig. 17. Path Type 2 - Time Response of $\tau_r$

../../Resources/kiee/KIEE.2026.75.3.615/fig17.png

4.3 평균제곱오차

정확한 경로 추종 성능을 정량적으로 비교하기 위해, 횡방향 오차에 평균제곱오차(Mean Squared Error, MSE)를 사용하였다. 샘플링 시간 $dt = 0.001$로 총 $N$개의 샘플에 대한 MSE는 다음과 같다:

$ MSE = \frac{1}{N}\sum_{i=0}^{N}(y_e)^2 $

경로 유형 1, 경로 유형 2의 샘플($N$)은 각각 $N_1 = 200000$, $N_2 = 50000$이고 각 유형에 대한 MSE는 표 1과 같다.

경로 유형 1, 2 모두에서 장벽 함수 기반 이득 알고리즘이 가장 작은 MSE를 보였다. 따라서 본 논문에서 제안한 장벽 함수 기반 이득 조절이 횡방향 경로 추종 오차를 효과적으로 줄이는 것을 확인할 수 있다.

표 1. 경로 유형 1, 2에 대한 평균제곱오차[15]

Table 1. Mean squared error for Path Types 1 and 2

SMC ASMC BFASMC
경로 유형 1 0.0840 0.1032 0.0572
경로 유형 2 0.2922 0.3623 0.1614

표 2. 무인 수상정 운동 파라미터[15]

Table 2. USV kinetic parameters[15]

$m$ 23.8 $Y_r$ -7.25
$x_g$ 0.046 $N_v$ 0.0313
$I_z$ 1.76 $N_r$ -1.9
$X_{\dot{u}}$ -2 $X_{|u||u|}$ -1.32742
$Y_{\dot{v}}$ -10 $Y_{|v||v|}$ -36.47287
$Y_{\dot{r}}$ 0 $Y_{|r||v|}$ -0.805
$N_{\dot{v}}$ 0 $Y_{|v||r|}$ -0.845
$N_{\dot{r}}$ -1 $Y_{|r||r|}$ -0.345
$X_u$ -0.72253 $N_{|v||v|}$ 3.95645
$Y_v$ -0.88965 $N_{|r||v|}$ 0.13
$N_{|v||r|}$ 0.08 $N_{|r||r|}$ -0.75

5. 결 론

본 연구는 무인 수상정에 작용하는 외란 하에서도 USV의 강인한 장벽 함수 기반 적응형 슬라이딩 모드 제어기를 설계하여 종, 각 속도를 제어하고 이를 통해 경로 추종을 달성하였다. 그리고 기존 ASMC의 외란 상한에 의해 수렴 영역 및 수렴 시간이 결정되는 문제를 장벽 함수 이득 도입을 통해 보완하고 연속 제어 입력이 생성되고 채터링, 이득 과대 평가 등의 문제를 완화하였다. 또한, 제어기 성능은 외란 상한에 무관하므로 슬라이딩 모드 유지의 편의성을 높였다. 향후 연구를 통해 횡방향 오차가 장벽에 의해 수렴 영역이 결정되는 문제의 해결이 필요하다.

Acknowledgements

This work was supported by the National Research Foundation of Korea(NRF) grant funded by the Korea government(MSIT) (RS-2025-16069142)

References

1 
D. W. Kim, 2015, Tracking of REMUS autonomous underwater vehicle with actuator saturations, Automatica, Vol. 58, pp. 15-21DOI
2 
M. H. Kim, D. LEE, D. W. Kim, 2025, Three-dimensional path-following control of nonlinear autonomous underwater vehicle with actuator saturation, Ocean Engineering, Vol. 317, pp. 119966DOI
3 
Y. Zhao, X. Sun, G. Wang, Y. Fan, 2020, Adaptive Backstepping Sliding Mode Tracking Control for Underactuated Unmanned Surface Vehicle With Disturbance and Input Saturation, IEEE Access, Vol. 9, pp. 1304-1312Google Search
4 
N. Wang, Z. Zhu, H. Qin, Z. Deng, 2020, Finite-time extended state observer-based exact tracking control of an unmanned surface vehicle, International Journal of Robust and Nonlinear Control, Vol. 31, pp. 1704-1719DOI
5 
S. Wang, M. Sun, Y. Xu, J. Liu, 2023, Predictor-Based Fixed-Time LOS Path Following Control of Underactuated USV With Unknown Disturbances, IEEE Transactions on Intelligent Vehicles, Vol. 8, pp. 2088-2096DOI
6 
W. Liu, H. Ye, X. Yang, 2023, Super-Twisting Sliding Mode Control for the Trajectory Tracking of Underactuated USVs with Disturbances, Journal of Marine Science and Engineering, Vol. 11, pp. 636DOI
7 
A. Gonzalez-Garcia, H. Castañeda, 2021, Guidance and control based on adaptive sliding mode strategy for a USV subject to uncertainties, IEEE Journal of Oceanic Engineering, Vol. 46, pp. 1144-1154DOI
8 
J. Rodriguez, H. Castañeda, A. Gonzalez-Garcia, J. L. Gordillo, 2022, Finite-time control for an Unmanned Surface Vehicle based on adaptive sliding mode strategy, Ocean Engineering, Vol. 254, pp. 111255DOI
9 
A. Gonzalez-Garcia, H. Castañeda, L. Gordillo, 2020, USV Path-Following Control Based On Deep Reinforcement Learning and Adaptive ControlGoogle Search
10 
C. Xiao, L. Zhong, Z. Jianqiang, Z. Dechao, D. Jiao, 2018, Adaptive sliding-mode path following control system of the underactuated USV under the influence of ocean currents, Journal of Systems Engineering and Electronics, Vol. 29, pp. 1271-1283DOI
11 
B. Qiu, G. Wang, Y. Fan, D. Mu, X. Sun, 2019, Adaptive Sliding Mode Trajectory Tracking Control for Unmanned Surface Vehicle with Modeling Uncertainties and Input Saturation, Applied Sciences, Vol. 9, pp. 1240DOI
12 
H. Obeid, LM. Fridman, S. Laghrouche, M. Harmouche, 2018, Barrier function-basedadaptive slidingmode control, Automatica, Vol. 93, pp. 540-544DOI
13 
H. Obeid, S. Laghrouche, L. Fridman, Y. Chitour, M. Harmouche, 2021, Barrier Function-Based Adaptive Super-Twisting Controller, IEEE Transactions on Automatic Control, Vol. 65, pp. 4928-4933Google Search
14 
T. I. Fossen, KY. Pettersen, R. Galeazzi, 2014, Line-of-Sight Path Following for Dubins Paths With Adaptive Sideslip Compensation of Drift Forces, IEEE Transactions on Control Systems, Vol. 23, pp. 820-827Google Search
15 
R. Skjetne, Ø. N. Smogeli, T. I. Fossen, 2004, A nonlinear ship manoeuvring model: Identification and adaptive control with experiments for a model ship, Modeling, Identification, And, control, Vol. 25, pp. 3-27DOI
16 
R. Cristi, FA. Papoulias, AJ. Healey, 1990, Adaptive sliding mode control of autonomous underwater vehicles in the dive plane, IEEE Journal of Oceanic Engineering, Vol. 15, pp. 152-160DOI

저자소개

이훈희 (Hoon Hee Lee)
../../Resources/kiee/KIEE.2026.75.3.615/au1.png

Hoon Hee Lee is received the B.S. degree in Electrical Engineering at Hanbat National University, Daejeon, South Korea, and is currently pursuing the M.S. degree in the Department of Ocean Systems Engineering, Sejong University, Seoul, South Korea. His research interests include robust and nonlinear control, with a particular focus on sliding mode control and path-following guidance and control for unmanned surface vehicles

김도완 (Dowan Kim)
../../Resources/kiee/KIEE.2026.75.3.615/au2.png

Dowan Kim received the B.S., M.S., and Ph.D. degrees in Electrical and Electronic Engineering from Yonsei University, Seoul, South Korea, in 2002, 2004, and 2007, respectively. From 2008 to 2009, he was a Postdoctoral Researcher at the Department of Mechanical Engineering, University of California, Berkeley, and subsequently a Research Professor at Yonsei University. From 2010 to 2025, he served as a Professor in the Department of Electrical Engineering at Hanbat National University. Since 2025, he has been with the Defense and AI Systems Engineering, Sejong University, Seoul, South Korea, where he is currently a Professor. His research interests include nonlinear and sampled-data control, Lyapunov-based stability under input constraints, and control of autonomous unmanned vehicles. He has served as an Associate Editor or Editor for several journals, including the International Journal of Control, Automation, and Systems, the Institute of Control, Robotics, and Systems, and KIEE Information and Control.